Добавить в корзинуПозвонить
Найти в Дзене

Задачи №20 из банка ФИПИ с правильным решением как на ОГЭ

образец решения образец решения Образец решения Образец решения Образец решения Образец решения Образец решения образец решения Образец решения
Оглавление

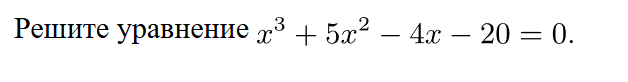
Тип 1 - кубические уравнения

образец решения

1. Ответ: − 5; −2; 2
1. Ответ: − 5; −2; 2
2. Ответ: − 4; −1; 1
2. Ответ: − 4; −1; 1
3. Ответ: − 3; −2; 2
3. Ответ: − 3; −2; 2
4. Ответ: − 2; −1; 1
4. Ответ: − 2; −1; 1
5. Ответ: − 3; −2; 3
5. Ответ: − 3; −2; 3
6. Ответ: − 3; −1; 1
6. Ответ: − 3; −1; 1
7. Ответ: − 4; −2; 2
7. Ответ: − 4; −2; 2
8. Ответ: − 4; −3; 3
8. Ответ: − 4; −3; 3
9. Ответ: − 4; −3; 3
9. Ответ: − 4; −3; 3
10. Ответ: − 7; −2; 2
10. Ответ: − 7; −2; 2
11. Ответ: − 5; −2; 2
11. Ответ: − 5; −2; 2

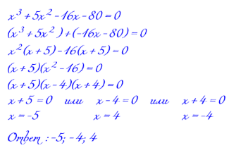
Тип - 2 - кубические усложненные уравнения

образец решения

-13
1. Ответ:  − 5; −4; 3
1. Ответ: − 5; −4; 3
2. Ответ: − 3; −2; 1
2. Ответ: − 3; −2; 1
3. Ответ: − 3; −1; 2
3. Ответ: − 3; −1; 2
4.Ответ: − 4; −3; 2
4.Ответ: − 4; −3; 2
5. Ответ: − 5; −4; 2
5. Ответ: − 5; −4; 2
6. Ответ:− 4; −3; 1
6. Ответ:− 4; −3; 1
7. Ответ: − 2; −1; 1
7. Ответ: − 2; −1; 1
8. Ответ: − 3; −2; 2
8. Ответ: − 3; −2; 2

Тип - 3. Уравнения 4 степени - решаются по формуле сокращенного умножения "разность квадратов"

Образец решения

1. Ответ:− 5; 1
1. Ответ:− 5; 1
2. Ответ:− 5; 2
2. Ответ:− 5; 2
3. Ответ: − 3; 1
3. Ответ: − 3; 1
4. Ответ:− 4; 1
4. Ответ:− 4; 1
5. Ответ:− 5; 3
5. Ответ:− 5; 3
6. Ответ: − 2; 1
6. Ответ: − 2; 1

Тип - 4. Сумма выражений равна 0. Обязательно сделать проверку

Образец решения

-28
1. Ответ: − 5
1. Ответ: − 5
2. Ответ: -3
2. Ответ: -3
3. Ответ: -7
3. Ответ: -7
4. Ответ: -1
4. Ответ: -1
5. Ответ: -2
5. Ответ: -2
6. Ответ: -2
6. Ответ: -2
7. Ответ: -3
7. Ответ: -3

Тип - 5. Уравнения с корнем. Не забываем про ОДЗ.

Образец решения

-36
1. Ответ: − 5
1. Ответ: − 5
2. Ответ: − 3
2. Ответ: − 3
3. Ответ: -1
3. Ответ: -1
4. Ответ: - 2
4. Ответ: - 2
5. Ответ: - 1
5. Ответ: - 1
6. Ответ: - 2
6. Ответ: - 2
7. Ответ: -3
7. Ответ: -3

Тип - 6. Биквадратное. Метод подмены

Образец решения

-44
1.
1.
2.
2.
3.
3.
4.
4.
5.
5.
6.
6.
7.
7.

Тип - 7. Дробно-рациональные

Образец решения

-52
1.
1.
2.
2.
3.
3.
4.
4.
5.
5.

Тип - 8. Дробно-рациональные, путем ввода новой переменной

образец решения

-58
6.
6.
7.
7.
8.
8.
9.
9.
10.
10.

Тип - 9. Найдите значение выражения

Образец решения

-64
1. Ответ: 15
1. Ответ: 15
2. Ответ: 6
2. Ответ: 6
3. Ответ: 1
3. Ответ: 1
4. Ответ: 9
4. Ответ: 9
5. Ответ: 7
5. Ответ: 7
6. Ответ: 8
6. Ответ: 8
7. Ответ: 5
7. Ответ: 5