Найти в Дзене
Полина Пархоменко

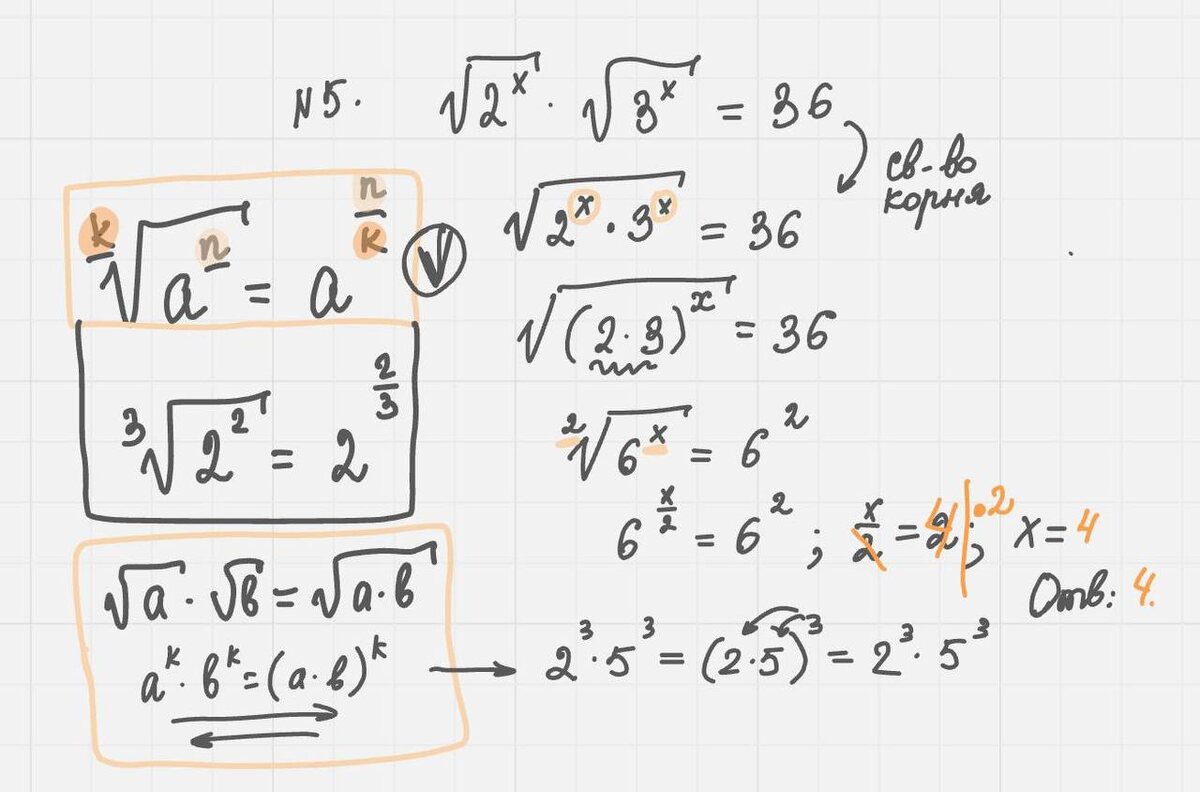
❗️ФОРМУЛА ПЕРЕВОДА ИЗ КОРНЯ В СТЕПЕНЬ И ОБРАТНО

❗️ФОРМУЛА ПЕРЕВОДА ИЗ КОРНЯ В СТЕПЕНЬ И ОБРАТНО ❗️ Если видишь в задаче корни и степени вперемешку — не паникуй. Всё сводится к одной простой формуле: 1️⃣ Главное правило: корень n-й степени из a = a^(1/n) То есть: √a = a^(1/2) ∛a = a^(1/3) ⁴√a = a^(1/4) 2️⃣ Если под корнем есть степень: ⁿ√(a^m) = a^(m/n) Примеры: √(x³) = x^(3/2) ∛(a²) = a^(2/3) ⁴√(b⁵) = b^(5/4) 3️⃣ Обратный переход: a^(m/n) = ⁿ√(a^m) Так можно легко «вернуть» корень, если в выражении дробная степень. 4️⃣ Важно для ЕГЭ: – Корни помогают упростить дробные степени – Дробные показатели часто встречаются в уравнениях и неравенствах – Нужно уверенно переходить из одной формы в другую 📘 Мы готовим с нуля, у нас высокий средний балл — 81.7 вместо 62.05 по России, по-настоящему много практики и кураторы-высокобалльники 90+ ЕГЭ. ⚠️Если хочешь раз и навсегда разобраться со степенями и корнями на ЕГЭ-2026/27 — ЗАПИСЫВАЙСЯ НА ГОДОВОЙ (ТЫК, ЖМЯК СЮДА) ГОДОВОЙ КУРС ЕГЭ-2026/27 А конспекты по теме уже ждут тут ❤️ Конспекты

❗️ФОРМУЛА ПЕРЕВОДА ИЗ КОРНЯ В СТЕПЕНЬ И ОБРАТНО ❗️

Если видишь в задаче корни и степени вперемешку — не паникуй. Всё сводится к одной простой формуле:

1️⃣ Главное правило:

корень n-й степени из a = a^(1/n)

То есть:

√a = a^(1/2)

∛a = a^(1/3)

⁴√a = a^(1/4)

2️⃣ Если под корнем есть степень:

ⁿ√(a^m) = a^(m/n)

Примеры:

√(x³) = x^(3/2)

∛(a²) = a^(2/3)

⁴√(b⁵) = b^(5/4)

3️⃣ Обратный переход:

a^(m/n) = ⁿ√(a^m)

Так можно легко «вернуть» корень, если в выражении дробная степень.

4️⃣ Важно для ЕГЭ:

– Корни помогают упростить дробные степени

– Дробные показатели часто встречаются в уравнениях и неравенствах

– Нужно уверенно переходить из одной формы в другую

📘 Мы готовим с нуля, у нас высокий средний балл — 81.7 вместо 62.05 по России, по-настоящему много практики и кураторы-высокобалльники 90+ ЕГЭ.

⚠️Если хочешь раз и навсегда разобраться со степенями и корнями на ЕГЭ-2026/27 — ЗАПИСЫВАЙСЯ НА ГОДОВОЙ (ТЫК, ЖМЯК СЮДА) ГОДОВОЙ КУРС ЕГЭ-2026/27

А конспекты по теме уже ждут тут ❤️ Конспекты