Найти в Дзене

Закон всемирного тяготения

Привет всем, кто не боится учиться!👋 Наверное, каждый слышал о таком явлении как гравитация. Именно оно лежит в основе нашей сегодняшней темы - закона всемирного тяготения. Прежде чем приступить к чтению, подписывайтесь на мой телеграм-канал, там я выкладываю (буду выкладывать😅) много интересного. В статье рассмотрено решение задачи номер 165 из сборника задач по физике 10-11 класса Н. А. Парфентьевой. Приступим! 📌Гравитация – это явление взаимного притяжения всех тел природы друг к другу. То есть абсолютно все тела притягиваются к нам, и мы свою очередь притягиваемся к ним. Но, почему же к нам не «прилипают», например, все предметы нашего быта: кружки, тарелки, чайник? Дело не в том, что на них гравитация не действует, а в том, что наша сила притяжения слишком мала, даже для того, чтобы сдвинуть маленький предмет с места. Обратите внимание, в наших рассуждениях появились силы притяжения, их правильнее называть гравитационные силы. 📌Гравитационные силы (или силы всемирного тяготе

Привет всем, кто не боится учиться!👋

Наверное, каждый слышал о таком явлении как гравитация. Именно оно лежит в основе нашей сегодняшней темы - закона всемирного тяготения.

Прежде чем приступить к чтению, подписывайтесь на мой телеграм-канал, там я выкладываю (буду выкладывать😅) много интересного.

В статье рассмотрено решение задачи номер 165 из сборника задач по физике 10-11 класса Н. А. Парфентьевой.

Приступим!

📌Гравитация – это явление взаимного притяжения всех тел природы друг к другу.

То есть абсолютно все тела притягиваются к нам, и мы свою очередь притягиваемся к ним.

Но, почему же к нам не «прилипают», например, все предметы нашего быта: кружки, тарелки, чайник? Дело не в том, что на них гравитация не действует, а в том, что наша сила притяжения слишком мала, даже для того, чтобы сдвинуть маленький предмет с места. Обратите внимание, в наших рассуждениях появились силы притяжения, их правильнее называть гравитационные силы.

📌Гравитационные силы (или силы всемирного тяготения) – это силы, с которыми тела, имеющие массу, притягиваются друг к другу.

Стоит сказать, что сил в природе не так уж и много, как кажется, всего четыре вида:

- гравитационные🌎;

- электромагнитные🧲;

- ядерные⚛️;

- силы слабого взаимодействия☢️.

Из всех перечисленных гравитационные силы самые слабые (несмотря на название последних).

Дело в том, что притяжение между телами будет существенным тогда, когда хотя бы одно из взаимодействующих тел так же велико, как Земля или Луна. То есть, когда хотя бы одно из тел обладает большой массой. Но силы гравитационного взаимодействия зависят не только от масс тел, а также и от расстояния между ними.

Ньютон установил: силы гравитационного взаимодействия двух тел обратно пропорциональны квадрату расстояния между ними. Открытый Ньютоном закон был назван законом всемирного тяготения.

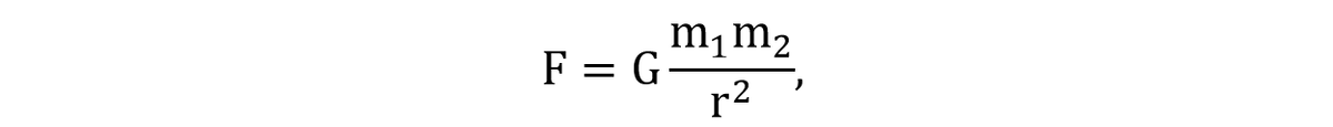
Сила гравитационного взаимодействия двух материальных точек прямо пропорциональна произведению их масс, обратно пропорциональна квадрату расстояния между ними и направлена вдоль линии, соединяющей эти точки:
где m1 и m2 – массы материальных точек, r – расстояние между ними, G – гравитационная постоянная.
где m1 и m2 – массы материальных точек, r – расстояние между ними, G – гравитационная постоянная.

Гравитационная постоянная равна силе гравитационного взаимодействия двух материальных точек, имеющих массы по 1 кг на расстоянии 1 м.

Численно гравитационная постоянная равна:

-3

⚠️ Важно ⚠️

В данной формуле очень часто r принимают за радиус Земли, но это не всегда так, потому что значение r зависит от условий задачи.

Закон всемирного тяготения справедлив для трех случаев.

1. Взаимодействующие тела – материальные точки. В этом случае r - расстояние между этими точками. Силы гравитационного взаимодействия направлены вдоль линии, соединяющей данные точки.

-4

2. Взаимодействующие тела – однородные тела, имеющие форму шара (даже если их нельзя считать материальными точками). В этом случае r – расстояние между центрами шаров. То есть r складывается из радиуса первого тела, радиуса второго тела и расстояния от поверхности первого шара до поверхности второго.

-5

Очень часто в задачах приводят именно расстояние между поверхностями тел, а их радиусы нам нужно учитывать уже самостоятельно. Силы взаимного притяжения лежат на прямой, проходящей через центры этих шаров (такие силы называют центральными).

3. Взаимодействующие тела – Земля и тело, размеры которого значительно меньше размеров Земли. Вообще здесь нужно понимать, что первое тело (не обязательно Земля) – это шар большого радиуса, а второе тело – это тело любой формы, и его размеры значительно меньше размеров первого тела.

-6

В этом случае есть развилка:

- Если тело находится вблизи поверхности Земли, то за r мы принимаем сам радиус Земли R;

- Если тело находится в воздушном пространстве Земли (например, на высоте 15 000 м), то r складывается из радиуса Земли R и расстояния h от поверхности Земли до этого тела.

Стоит отметить, что гравитационные силы являются только силами притяжения и экрана от сил тяготения не существует.

Вот и все, что нужно знать о законе всемирного тяготения. Предлагаю сразу решить небольшую задачу.

Условие задачи 📝:
На какой высоте над поверхностью Земли сила притяжения к ней тел уменьшается в 2 раза?

Перед нами задача в общем виде (без каких-либо численных значений). Ответом на такие задачи является формула, причем в формулу должны входить только те величины, о которых упоминалось в условии. То есть в нашем ответе должен фигурировать только радиус Земли.

Для решения подобных задач нужно рассматривать два случая: "до" и "после".

Наш случай "до" заключается в том, что тело находилось на поверхности Земли.

-7

Запишем для этого случая закон всемирного тяготения:

-8

Теперь рассмотрим случай "после". Тело уже находится на некоторой высоте над поверхностью Земли, обозначим данную высоту h.

-9

Для этого случая закон всемирного тяготения имеет вид:

-10

Обратите внимание, и в первом выражении, и во втором переменные G, m, M, R одинаковы: мы не приписываем им индексы 1 в первом случае и индексы 2 во втором, потому что от случая к случаю эти величины не изменят своего значения. А у переменной F как раз таки индексы 1 и 2 нужны, потому что от изменения высоты изменится и значение силы притяжения.

Из условия задачи нам известно, что после подъема тела на высоту h, сила его притяжения к Земле уменьшилась в 2 раза. То есть отношение сил притяжения F1/F2 равно двум. Получается, для решения задачи нам нужно разделить первое выражение на второе.

Так как выражения включают в себя обыкновенные дроби, сразу перевернем вторую дробь и сменим действие деления на умножение. Таким образом мы сможем избежать громоздкой записи четырехэтажной дроби.

-11

При умножении дробей переменные G, m, M сократятся и мы получим следующее выражение:

-12

Вместо отношения сил F1/F2 подставим 2 и затем выразим переменную h:

-13

🏁 Готово, задача решена! 🏁

Сила притяжения к Земле уменьшается в 2 раза на высоте, равной 0,4R.

Если вы дочитали до конца, подписывайтесь на канал и ставьте палец вверх👍 Это мотивирует быстрее публиковать новые статьи!

👾 Присоединяйтесь к моему каналу в Telegram! 👾

Наука
7 млн интересуются