Найти в Дзене
В центре науки

Как стать счастливым (и можно ли это посчитать?): научный взгляд на проблему

Что делает нас счастливыми — деньги, любовь, успех или, может быть, чашка кофе утром? Психологи и нейробиологи спорят об этом уже десятилетиями. Но самое интересное: счастье можно не только почувствовать, но и частично измерить. Учёные различают два вида счастья: Исследовательские базы, такие как World Database of Happiness, собирают данные о десятках тысяч исследований на тему счастья, чтобы сравнивать эмпирические результаты о связи счастья с социальными, экономическими и психологическими факторами. Одна из популярных (и упрощенных) формул счастья, предложенных учеными, выглядит так:
H = S + C + V, где: S — «врожденный» уровень счастья
C — жизненные обстоятельства (доход, жилищные условия, климат)V — факторы, которыми мы управляем (привычки, отношения, мысли). Но ни одна формула не работает на 100%: у счастья слишком много индивидуальных факторов. Счастье нельзя записать одной всеобъемлющей формулой, но наука показывает нам, как мы можем на это повлиять. Главное — не ждать, что счас
Оглавление

Что делает нас счастливыми — деньги, любовь, успех или, может быть, чашка кофе утром? Психологи и нейробиологи спорят об этом уже десятилетиями. Но самое интересное: счастье можно не только почувствовать, но и частично измерить.

Источник: www.walkinmyshoes.ie
Источник: www.walkinmyshoes.ie

Что такое счастье

Учёные различают два вида счастья:

  • Гедоническое счастье — удовольствие от приятных вещей: вкусной еды, отдыха, победы
  • Эвдемоническое счастье — более глубокое чувство смысла, удовлетворения от жизни и своих действий

Исследовательские базы, такие как World Database of Happiness, собирают данные о десятках тысяч исследований на тему счастья, чтобы сравнивать эмпирические результаты о связи счастья с социальными, экономическими и психологическими факторами.

Можно ли измерить счастье?

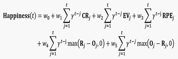
Ученые Университетского колледжа Лондона вывели следующую формулу. t — номер игры, w0 — константа, остальные w описывают влияние различных событий. 0 < γ < 1 — это фактор забвения, из-за которого недавние игры больше влияют на самочувствие человека, чем более удаленные по времени. CRj — это небольшое вознаграждение, который добровольцы получают, если отказываются от игры. EVj — средний размер выигрыша в игре, RPE — награда минус ожидания от игры. W4 связан с чувством вины (когда выигрыш респондента Rj превышает выигрыш незнакомого ему второго участника — Oj), w5 — c завистью (когда, напротив, Oj превышает Rj). Изображение: phys.org
Ученые Университетского колледжа Лондона вывели следующую формулу. t — номер игры, w0 — константа, остальные w описывают влияние различных событий. 0 < γ < 1 — это фактор забвения, из-за которого недавние игры больше влияют на самочувствие человека, чем более удаленные по времени. CRj — это небольшое вознаграждение, который добровольцы получают, если отказываются от игры. EVj — средний размер выигрыша в игре, RPE — награда минус ожидания от игры. W4 связан с чувством вины (когда выигрыш респондента Rj превышает выигрыш незнакомого ему второго участника — Oj), w5 — c завистью (когда, напротив, Oj превышает Rj). Изображение: phys.org

Одна из популярных (и упрощенных) формул счастья, предложенных учеными, выглядит так:
H = S + C + V, где:

S — «врожденный» уровень счастья
C — жизненные обстоятельства (доход, жилищные условия, климат)V — факторы, которыми мы управляем (привычки, отношения, мысли).

Но ни одна формула не работает на 100%: у счастья слишком много индивидуальных факторов.

Что реально делает нас счастливее

  1. Связи с другими людьми
    Самый длинный эксперимент о счастье, Гарвардское исследование, продолжающееся почти 85 лет, показал: люди, у которых есть близкие отношения, чувствуют себя счастливее и живут дольше.
  2. Чувство смысла
    Психологи называют это «внутренней устойчивостью»: когда вы понимаете, зачем просыпаетесь утром, трудности не так страшны.
  3. Благодарность и внимание к настоящему
    Простая практика – записывать три вещи, за которые вы благодарны, изменяет восприятие и повышает уровень серотонина.
  4. Физическая активность
    Даже короткая прогулка стимулирует выработку эндорфинов и снижает уровень кортизола
  5. Помощь другим
    Альтруизм, как ни парадоксально, работает в обе стороны: помогая другим, мозг активирует те же зоны вознаграждения, что и при получении подарка.

От чего еще зависит счастье?

  • Деньги не главное: после определённого уровня дохода (примерно 70–80 тысяч долларов в год по мировым данным) деньги перестают значительно влиять на уровень счастья.
  • Отношения важнее денег в долгосрочной перспективе: на финансовый достаток можно адаптироваться, но качество связей остаётся критичным
  • Социальная поддержка: страны Северной Европы стабильно входят в топ самых счастливых стран: например, Финляндия уже много лет занимает первое место благодаря высоким показателям социальной поддержки, доверия и качеству жизни

Практические идеи: как прокачать уровень счастья

  • Вносите в свою жизнь маленькие изменения – пусть это будет что-то простое (новое хобби, круг общения, маршрут дороги до работы)
  • Уделяйте время отношениям. Исследования подтверждают: качественные связи работают как гормон счастья
  • Внедряйте смысл и осознанность: действия, которые кажутся значимыми нам самим, часто приносят больше удовлетворения

Счастье нельзя записать одной всеобъемлющей формулой, но наука показывает нам, как мы можем на это повлиять. Главное — не ждать, что счастье само придёт, а начать его создавать.

А чего вам не хватает для счастья?