Добавить в корзинуПозвонить
Найти в Дзене
Инженер идей

Метод, способный заменить все остальные подходы к решению проблем

Метод, способный заменить все остальные подходы к решению проблем Метод Г.А.Р.П.У.Н. (Графический алгоритм решения проблем универсальный) имеет на это все шансы. Почему? Потому что он работает не на наборе приёмов, а на фундаментальной логической основе: «субъект – действие – объект». Это та самая структура, которая лежит в основе любого процесса, системного подхода и алгоритма. Его особенность – наглядная графическая схема, но это не догма. ГАРПУН легко описывается и как линейный, и как циклический алгоритм, что превращает его в полноценный научный, итеративный метод. Он отлично сочетается с другими инструментами, например, с методом «Ходовик», где нужно сначала построить алгоритм проблемы, а затем изменить его для её решения. Конечно, для правильного описания цели, средств и других параметров потребуется базовое понимание логики. Но это лишь делает метод более точным и мощным. Метод Гарпун есть в открытом доступе на Рутуб, Ютуб, Дзен, VK. Но в Клубе инженеров инноваций есть то, ч

Метод, способный заменить все остальные подходы к решению проблем

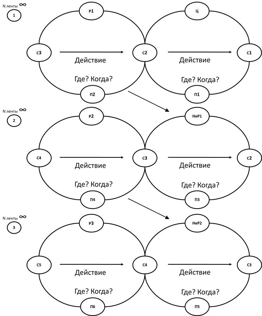
Метод Г.А.Р.П.У.Н. (Графический алгоритм решения проблем универсальный) имеет на это все шансы. Почему? Потому что он работает не на наборе приёмов, а на фундаментальной логической основе: «субъект – действие – объект». Это та самая структура, которая лежит в основе любого процесса, системного подхода и алгоритма.

Его особенность – наглядная графическая схема, но это не догма. ГАРПУН легко описывается и как линейный, и как циклический алгоритм, что превращает его в полноценный научный, итеративный метод. Он отлично сочетается с другими инструментами, например, с методом «Ходовик», где нужно сначала построить алгоритм проблемы, а затем изменить его для её решения.

Конечно, для правильного описания цели, средств и других параметров потребуется базовое понимание логики. Но это лишь делает метод более точным и мощным.

Метод Гарпун есть в открытом доступе на Рутуб, Ютуб, Дзен, VK. Но в Клубе инженеров инноваций есть то, чего нет больше нигде – возможность напрямую спросить автора, как применить этот метод к вашей конкретной задаче и даже решить её вместе.

Перестаньте коллекционировать методы – начните решать проблемы на фундаментальном уровне.

Инженер идей