Найти в Дзене
ВоенСчёт

Максимальная сумма военной ипотеки в 2025 году

Оглавление
   Максимальная сумма военной ипотеки в 2025 году — ВоенСчёт ВоенСчёт
Максимальная сумма военной ипотеки в 2025 году — ВоенСчёт ВоенСчёт

Максимальная военная ипотека 2025 — это сумма кредита, которую покрывает ежемесячный взнос НИС при заданных ставке и сроке. Ниже — калькулятор максимума военной ипотеки с учётом выслуги, возраста (порог 45 лет) и аннуитетной формулы.

Коротко

  • Ежемесячное перечисление по НИС в 2025: с 1 июля 202532 947 ₽/мес (годовой взнос 395 370,10 ₽). Это закреплено ФЗ № 152-ФЗ от 24.06.2025 и подтверждено ФГКУ «Росвоенипотека». Публикации правовой информации
  • До 30.06.2025 действовало 31 998,27 ₽/мес (383 979,30 ₽/год). РИА Новости
  • Как считается максимум кредита: это обычная аннуитетная математика — считаем, какой основной долг «потянет» фиксированное перечисление ЕЦЖС при заданной ставке и сроке.
  • Где в расчёте учтена выслуга: чем меньше остаток службы (сколько лет планируете служить дальше), тем короче безопасный срок кредита, который полностью покрывается ЕЦЖС. Банки вдобавок часто ограничивают срок возрастом (погашение до 45 лет у Сбера и др.). Сбербанк

Максимальная военная ипотека 2025: калькулятор онлайн

Что учитывает калькулятор:
период 2025 (янв–июн / с 1 июля),
ставку (% годовых), остаток службы (сколько лет планируете служить дальше → это безопасный срок, который будет покрываться ЕЦЖС), а также ручное задание срока кредита (до 25 лет, но не позже 45 лет — ориентируйтесь на требования банка). Сценарий 2026 (ориентир) тоже доступен.

Максимальная сумма военной ипотеки (2025)

Период НИС (ЕЦЖС)
01.01–30.06.2025 — 31 998,27 ₽/месс 01.07.2025 — 32 947 ₽/месЗадаю вручную ниже

ЕЦЖС, ₽/мес (можно изменить)

Ставка, % годовых

Срок кредита, лет (≤ 25)

Выслуга сейчас, лет

План до выслуги (обычно 20), лет

Возраст сейчас

Округлять сумму до, ₽

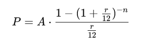
Формула аннуитета: P = A × (1 − (1+i)−n) / i, где A — ЕЦЖС (₽/мес), i = r/12 (месячная ставка), n — срок в месяцах.

Рассчитать максимум
Сбросить

Примечание: банки могут ограничивать сумму, LTV и срок; при платеже выше ЕЦЖС разницу платит заёмщик.

Как считается максимум по НИС (формула и примеры)

При фиксированном перечислении ЕЦЖС A (руб./месяц), ставке r (% годовых) и сроке n (месяцев) максимальный основной долг (P) находится по аннуитетной формуле:

-2

Выслуга влияет на «безопасный срок»: если планируете служить ещё X лет, то целесообразно задавать срок кредита ≤ X, чтобы весь платёж покрывался ЕЦЖС. Дополнительно учитывайте возрастные ограничения банка (часто погашение должно наступить до 45 лет). Сбербанк

Примеры: сколько «тянет» 32 947 ₽/мес (с 01.07.2025)

Округление до 1 ₽, аннуитет, без досрочек.

Срок 6% 8% 10% 12% 10 лет 2 967 650 ₽ 2 715 541 ₽ 2 493 138 ₽ 2 296 423 ₽ 15 лет 3 904 335 ₽ 3 447 594 ₽ 3 065 963 ₽ 2 745 199 ₽ 20 лет 4 598 768 ₽ 3 938 955 ₽ 3 414 120 ₽ 2 992 227 ₽ 25 лет 5 113 601 ₽ 4 268 762 ₽ 3 625 726 ₽ 3 128 204 ₽

Для периода 01.01–30.06.2025 используйте 31 998,27 ₽/мес; для 2026 (проект) — 34 265,41 ₽/мес. В калькуляторе это отдельные опции. ВТБ

Лимит по выслуге и возрасту: что учесть

  • Фактическая «планка» по сумме зависит не только от формулы, но и от лимитов банка (максимальная сумма по продукту, LTV, требования к объекту). Проверяйте условия у своего банка. ВТБ
  • Срок/возраст. Ряд банков требует, чтобы погашение наступало до 45 лет. Если возраст 40, безопасный срок — до 5 лет. Сбербанк
  • Если платёж по договору выше ЕЦЖС, разницу придётся доплачивать из личных средств. Спроси.дом.рф
  • Правовая база: НИС закреплена ФЗ № 117-ФЗ; размер взноса на год — в законе о бюджете (на 2025 — изменения ФЗ № 152-ФЗ от 24.06.2025). Гарант

FAQ

Что будет, если уволиться раньше рассчитанного срока?
ЕЦЖС прекратится с увольнения; оставшийся долг и проценты нужно платить самостоятельно на условиях договора. Банки на это прямо указывают в правилах.
Сбербанк

Можно ли брать срок дольше «остатка службы»?
Технически — да, если банк одобрит. Но платежи после увольнения
не покрываются НИС, поэтому безопаснее ограничивать срок «остатком службы» и/или возрастным потолком. Сбербанк

Учтён ли рост взноса в 2026 году?
В калькуляторе есть опция «ориентир 2026» (
≈34 265 ₽/мес). Это значение из проекта бюджета-2026; финальную цифру утвердят законом в декабре 2025. ВоенСчёт

Источники

  • ФЗ № 152-ФЗ от 24.06.2025 (изменения к бюджету-2025; индексация взноса НИС до 395 370,10 ₽). Публикации правовой информации
  • ФГКУ «Росвоенипотека» — новости об увеличении ежемесячного взноса до 32 947 ₽ с июля 2025. m.rosvoenipoteka.ru
  • ВТБ: Военная ипотека — справка по текущей ежемесячной выплате НИС в 2025. ВТБ
  • Сбер (регламент): срок погашения должен наступать до 45 лет. Сбербанк
  • Ориентир-2026 (Voenschet): проект бюджета — 411 184,9 ₽/год (~34 265 ₽/мес). ВоенСчёт