Добавить в корзинуПозвонить
Найти в Дзене
Булат Макаров

Как вернуть деньги у АО «МАКС» за страховой полис или финансовую защиту

При оформлении потребительских, ипотечных и автокредитов многие заемщики сталкиваются с дополнительным оформлением страховых полисов от АО «Московская Акционерная Страховая Компания» (МАКС). Это может быть страхование финансовых рисков, связанных с потерей работы, страхование жизни и здоровья заемщика или иные виды страховой защиты, включаемые в условия кредитного договора. В чём смысл услуги? Предполагается, что страховой полис обеспечивает финансовую защиту при наступлении определенных неблагоприятных событий — потеря работы, временная нетрудоспособность, несчастный случай. В таких ситуациях страховая компания должна компенсировать ваши платежи по кредиту или выплатить фиксированную сумму. Практика показывает, что страховые полисы от АО «МАКС», оформляемые при кредитовании, имеют ряд существенных недостатков: Прежде всего необходимо собрать и проанализировать всю имеющуюся документацию: В зависимости от ситуации, возможны различные основания для возврата: В заявлении (образец по ссы
Оглавление

При оформлении потребительских, ипотечных и автокредитов многие заемщики сталкиваются с дополнительным оформлением страховых полисов от АО «Московская Акционерная Страховая Компания» (МАКС). Это может быть страхование финансовых рисков, связанных с потерей работы, страхование жизни и здоровья заемщика или иные виды страховой защиты, включаемые в условия кредитного договора.

В чём смысл услуги? Предполагается, что страховой полис обеспечивает финансовую защиту при наступлении определенных неблагоприятных событий — потеря работы, временная нетрудоспособность, несчастный случай. В таких ситуациях страховая компания должна компенсировать ваши платежи по кредиту или выплатить фиксированную сумму.

Информация о компании АО «МАКС»

  • Полное название: Акционерное общество «Московская Акционерная Страховая Компания»
  • Генеральный директор: Мартьянова Надежда Васильевна
  • Юридический адрес: 115184, г. Москва, ул. Ордынка М., д. 50
  • Телефон для связи: 8(495)730-11-01
  • Официальный сайт: makc.ru
  • Год основания: 1992

Где чаще всего предлагают страховки АО «МАКС»

  • При оформлении автокредита в АО Кредит Европа Банк (Россия)
  • При получении потребительских кредитов в различных банках-партнерах
  • При оформлении ипотечных займов
  • При приобретении полисов ОСАГО и КАСКО
  • В качестве дополнительной услуги при страховании имущества

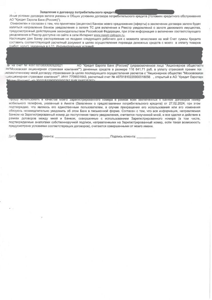
Примеры документов

Почему стоит задуматься о возврате средств за страховку

Практика показывает, что страховые полисы от АО «МАКС», оформляемые при кредитовании, имеют ряд существенных недостатков:

  • Высокая стоимость страховки, которая может значительно увеличить фактическую переплату по кредиту.
  • Множество исключений из страхового покрытия, перечисленных в договоре мелким шрифтом.
  • Строго ограниченный перечень страховых случаев, часто не включающий наиболее распространенные жизненные ситуации.
  • Сложный процесс сбора и подачи документов при наступлении страхового случая.
  • Длительные сроки рассмотрения заявлений о выплате страхового возмещения.
  • Частые случаи отказа в выплате страхового возмещения по формальным основаниям.
  • Навязывание услуги как обязательного условия получения кредита, что является нарушением прав потребителя.

Пошаговая инструкция по возврату денег

Шаг 1: Сбор и анализ документов

Прежде всего необходимо собрать и проанализировать всю имеющуюся документацию:

  • Найдите свой страховой полис от АО «МАКС».
  • Изучите условия договора страхования, особенно пункты о досрочном расторжении.
  • Проверьте кредитный договор на наличие информации о страховке.
  • Уточните дату заключения договора страхования для определения возможности применения «периода охлаждения».
  • Соберите документы, подтверждающие оплату страховой премии.

Шаг 2: Определение правовых оснований для возврата

В зависимости от ситуации, возможны различные основания для возврата:

  • Отказ от страховки в «период охлаждения» (14 календарных дней с момента заключения договора).
  • Досрочное погашение кредита, если страховка была оформлена на весь срок кредитования.
  • Навязывание услуги страхования при оформлении кредита.
  • Недостаточное информирование о характере и условиях страхования.
  • Существенное нарушение условий договора со стороны страховщика.

Шаг 3: Составление заявления на возврат страховой премии

В заявлении (образец по ссылке), необходимо указать:

  • ФИО, паспортные данные и контактную информацию заявителя.
  • Полные реквизиты договора страхования (номер, дата заключения).
  • Обстоятельства заключения договора (в составе кредитного договора или отдельно).
  • Основание для расторжения договора и возврата денежных средств.
  • Сумму, подлежащую возврату.
  • Полные банковские реквизиты для перечисления средств.
  • Дату составления заявления и подпись.

Шаг 4: Подготовка пакета документов

К заявлению необходимо приложить:

  • Копию паспорта (разворот с фото и страница с регистрацией).
  • Копию договора страхования (страхового полиса).
  • Копию кредитного договора, если страховка оформлялась вместе с кредитом.
  • Копии платежных документов, подтверждающих оплату страховой премии.
  • Документы, подтверждающие досрочное погашение кредита (если применимо).
  • Копию банковских реквизитов для возврата денежных средств

Шаг 5: Направление заявления в АО «МАКС»

Отправьте комплект документов одним из следующих способов:

  • Заказным письмом с уведомлением о вручении и описью вложения по адресу: 115184, г. Москва, ул. Ордынка М., д. 50.
  • Лично в офисе страховой компании с проставлением отметки о принятии на вашем экземпляре заявления.
  • Через официальный сайт компании, если предусмотрена такая возможность.

Важно! Почтовую квитанцию с трек-номером необходимо сохранить и сфотографировать, так как эти квитанции быстро выцветают и легко теряются. Трек-номер позволит отслеживать движение вашего письма.

Шаг 6: Контроль сроков рассмотрения заявления

  • При расторжении договора в «период охлаждения» — страховая компания обязана рассмотреть заявление и вернуть средства в течение 10 рабочих дней.
  • При расторжении по иным основаниям — сроки устанавливаются договором или общими правилами страхования.
  • Отслеживайте статус доставки письма через сервис Почты России.
  • Сохраняйте историю всех контактов со страховой компанией (даты звонков, имена сотрудников).

Шаг 7: Реагирование на ответ страховой компании

Возможные варианты развития событий:

  1. Положительное решение — страховая компания удовлетворяет требования и возвращает денежные средства.
  2. Частичное удовлетворение — возврат части страховой премии за неиспользованный период с удержанием расходов.
  3. Отказ — страховая компания не согласна с вашими требованиями.
  4. Отсутствие ответа в установленные сроки.

Шаг 8: Досудебное урегулирование при отказе

При получении отказа или отсутствии ответа:

  • Составьте и направьте претензию в адрес АО «МАКС» с требованием вернуть деньги и предупреждением о намерении обратиться в контролирующие органы и суд.
  • Направьте жалобу в Центральный Банк РФ через интернет-приемную на сайте cbr.ru.
  • Обратитесь с жалобой во Всероссийский союз страховщиков (ВСС).
  • Подайте жалобу в Роспотребнадзор на нарушение прав потребителя.
  • Обратитесь к финансовому уполномоченному (обязательный этап перед судом для требований до 500 000 рублей).

Шаг 9: Подготовка и подача искового заявления

Если досудебное урегулирование не дало результатов:

  • Составьте исковое заявление о защите прав потребителя.
  • Включите в требования: расторжение договора страхования, возврат страховой премии, взыскание неустойки, компенсацию морального вреда и штраф за отказ. удовлетворить требования в добровольном порядке.
  • Подготовьте расчет неустойки (3% от суммы требований за каждый день просрочки).
  • Приложите все документы, подтверждающие ваши требования и попытки досудебного урегулирования.
  • Подайте иск в районный суд по месту вашего жительства или нахождения страховой компании (вы освобождены от уплаты госпошлины при сумме иска до 1 млн. рублей)

Шаг 10: Судебное разбирательство и исполнение решения

  • Тщательно подготовьтесь к судебным заседаниям, соберите все доказательства.
  • Рассмотрите возможность привлечения профессионального юриста для представления интересов в суде.
  • После получения положительного решения суда дождитесь его вступления в законную силу.
  • Получите исполнительный лист в суде.
  • Предъявите исполнительный лист в банк страховой компании или в службу судебных приставов.

Важные правовые аспекты

«Период охлаждения» в страховании

  • Указание Банка России от 20.11.2015 № 3854-У устанавливает «период охлаждения» — 14 календарных дней с даты заключения договора.
  • В течение этого периода страхователь вправе отказаться от договора с возвратом уплаченной страховой премии в полном объеме, если не было страховых случаев.
  • Если договор вступил в силу, страховщик вправе удержать часть премии пропорционально времени действия страхования.
  • Для некоторых видов страхования (ОСАГО, ДМС для мигрантов и др.) «период охлаждения» не действует.

Возврат страховки при досрочном погашении кредита

  • Согласно п. 10 ст. 11 Федерального закона «О потребительском кредите (займе)» заемщик имеет право на возврат части страховой премии при досрочном погашении кредита.
  • Возврат осуществляется за вычетом части страховой премии, исчисляемой пропорционально времени действия договора страхования.
  • Право на возврат распространяется только на договоры страхования, заключенные после 01.09.2020.

Сроки обращения

  • Общий срок исковой давности составляет 3 года с момента, когда лицо узнало или должно было узнать о нарушении своего права.
  • Для требований о возврате страховой премии в «период охлаждения» — 14 календарных дней с момента заключения договора.
  • Для требований о возврате при досрочном погашении кредита — срок не ограничен, но рекомендуется обращаться максимально быстро после погашения.

Рекомендации по успешному возврату страховки

Практика показывает, что для максимальной эффективности возврата средств за страховые полисы АО «МАКС» полезно придерживаться следующих рекомендаций:

  • Внимательно изучайте условия договора страхования перед подписанием, обращая особое внимание на исключения и условия расторжения.
  • Сохраняйте абсолютно все документы, связанные с кредитом и страховкой, включая рекламные буклеты и информационные материалы.
  • Действуйте оперативно — каждый день промедления может усложнить процесс возврата денег.
  • Ведите всю коммуникацию со страховой компанией в письменном виде, фиксируя даты и способы отправки документов.
  • Не соглашайтесь на устные обещания и частичные возвраты, если имеете право на полный возврат.
  • Фиксируйте все телефонные разговоры с представителями страховой компании (предупредив об этом собеседника).
  • Не поддавайтесь на давление или уговоры отказаться от своих требований.
  • Помните, что судебная практика по возврату страховых премий в большинстве случаев складывается в пользу потребителей.

Если вы не хотите тратить время и силы на самостоятельное прохождение всех этапов возврата страховки, рекомендуем обратиться к профессиональным юристам, специализирующимся на защите прав потребителей финансовых услуг. Это существенно повысит ваши шансы на возврат денежных средств и минимизирует временные затраты.