Найти в Дзене

Поиск в бинарном дереве поиска — простое решение задачи с LeetCode

Сегодня разберём простую, но очень полезную задачу с LeetCode — "Search in a Binary Search Tree". Она отлично подойдёт для начинающих, кто только знакомится с деревьями и рекурсией. Ссылка на задачу: https://leetcode.com/problems/search-in-a-binary-search-tree You are given the root of a binary search tree (BST) and an integer val. Find the node in the BST that the node's value equals val and return the subtree rooted with that node. If such a node does not exist, return null. Example 1: Input: root = [4,2,7,1,3], val = 2
Output: [2,1,3] Example 2: Input: root = [4,2,7,1,3], val = 5
Output: [] На русском: Нам дан корень бинарного дерева поиска (BST) и целое число val. Нужно найти узел, в котором значение равно val, и вернуть всё поддерево, начинающееся с этого узла. Если такого узла нет — вернуть None. Бинарное дерево поиска — это особый вид бинарного дерева, в котором: Пример дерева:
Перед тем как посмотреть решение, подумайте как бы вы решали такую задачу? Подписывайтесь на мой кан
Оглавление

Сегодня разберём простую, но очень полезную задачу с LeetCode — "Search in a Binary Search Tree". Она отлично подойдёт для начинающих, кто только знакомится с деревьями и рекурсией.

🧩 Условие задачи

Ссылка на задачу: https://leetcode.com/problems/search-in-a-binary-search-tree

You are given the root of a binary search tree (BST) and an integer val.

Find the node in the BST that the node's value equals val and return the subtree rooted with that node. If such a node does not exist, return null.

Example 1:

Input: root = [4,2,7,1,3], val = 2
Output: [2,1,3]

Example 2:

-2

Input: root = [4,2,7,1,3], val = 5
Output: []

На русском:

Нам дан корень бинарного дерева поиска (BST) и целое число val. Нужно найти узел, в котором значение равно val, и вернуть всё поддерево, начинающееся с этого узла. Если такого узла нет — вернуть None.

🌳 Что такое бинарное дерево поиска (BST)?

Бинарное дерево поиска — это особый вид бинарного дерева, в котором:

  • Все значения в левом поддереве меньше значения текущего узла.
  • Все значения в правом поддереве больше значения текущего узла.

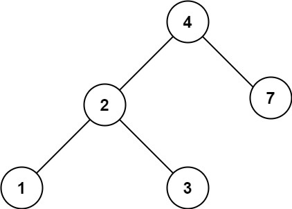
Пример дерева:

бинарное дерево поиска
бинарное дерево поиска

Вот "стартовый" код для задачи
Вот "стартовый" код для задачи


Перед тем как посмотреть решение, подумайте как бы вы решали такую задачу?

Подписывайтесь на мой канал в Телеграмм, чтобы ничего не пропустить.

Ну или на канал в VK, если хотите видеть новые статьи у себя в ленте.

-5

🧠 Как решать задачу?

Мы можем использовать свойства BST, чтобы эффективно искать нужное значение:

  1. Если текущий узел None — значит, мы ничего не нашли.
  2. Если root.val == val — мы нашли нужный узел, возвращаем его.
  3. Если val < root.val — идём в левое поддерево.
  4. Если val > root.val — идём в правое поддерево.

✅ Решение на Python

Вот простое и понятное рекурсивное решение:

-6

🔍 Как работает это решение?

Допустим, мы ищем val = 2 в дереве:

  • Сначала сравниваем 2 с 4. Поскольку 2 < 4, идём влево.
  • Теперь сравниваем 2 с 2. Совпало! Возвращаем этот узел.
  • Вместе с ним возвращается и всё поддерево: 1 и 3.

📦 Что значит "вернуть поддерево"?

В Python дерево реализовано через объекты. Если ты возвращаешь узел TreeNode, то вместе с ним возвращаются и все его потомки — левый и правый. Это и есть поддерево.

🧩 Вывод

Эта задача — отличный пример того, как можно использовать свойства бинарного дерева поиска для быстрого поиска. А ещё — это хорошая тренировка рекурсии!

Если ты только начинаешь изучать структуры данных — обязательно попробуй решить эту задачу сам.

Ну и это простое решение и есть самое быстрое. Хотя может другого и просто нет?

-7

Спасибо, что прочли до конца 🙌
Подписывайтесь на мой канал в
Телеграм или в VK — впереди ещё много интересного про ИИ, NLP и тестирование!

До встречи в следующих статьях! 💡