Добавить в корзинуПозвонить
Найти в Дзене

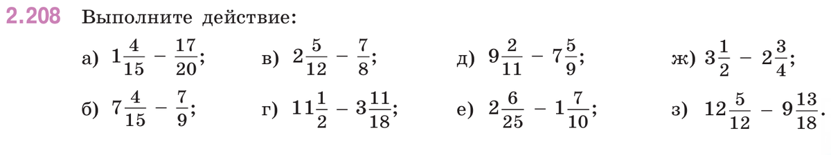
Математика 6 класс Виленкин номер 2.208

Видео урок часть 1https://rutube.ru/video/810e71af021965556b852a98821f6b6b/ часть 2 https://rutube.ru/video/d3de506263c1766abc6d020a1fb4252c/ Поддержать автора можно по ссылке https://yoomoney.ru/to/4100118707936896
-2
-3

Видео урок часть 1https://rutube.ru/video/810e71af021965556b852a98821f6b6b/

часть 2 https://rutube.ru/video/d3de506263c1766abc6d020a1fb4252c/

Поддержать автора можно по ссылке https://yoomoney.ru/to/4100118707936896