Найти в Дзене
Снежана Тимошина

Умножение и деление обыкновенных дробей

1. Умножение обыкновенных дробей Правило: Чтобы умножить дробь на дробь, нужно перемножить их числители и их знаменатели. Формула: Пример 1: Умножим 2/3 на 4/5. (2/3) * (4/5) = (2 * 4) / (3 * 5) = 8/15 Пример 2: Умножим 1/2 на 7/8. (1/2) * (7/8) = (1 * 7) / (2 * 8) = 7/16 Сокращение дробей до умножения Чтобы облегчить вычисления, дроби можно сокращать еще до выполнения умножения. Сокращать можно любой числитель с любым знаменателем. Пример 3: Умножим 3/8 на 4/9. Запишем пример: (3/8) * (4/9) Мы видим, что числитель первой дроби (3) и знаменатель второй дроби (9) делятся на 3. Сокращаем их: 3:3=1, 9:3=3. Получаем (1/8) * (4/3). Теперь видим, что знаменатель первой дроби (8) и числитель второй дроби (4) делятся на 4. Сокращаем их: 8:4=2, 4:4=1. Получаем (1/2) * (1/3). Теперь перемножаем: (1 * 1) / (2 * 3) = 1/6. Умножение дроби на натуральное число Любое натуральное число можно представить в виде дроби со знаменателем 1. Правило: Чтобы умножить дробь на натуральное число, нужно числител

1. Умножение обыкновенных дробей

Правило:

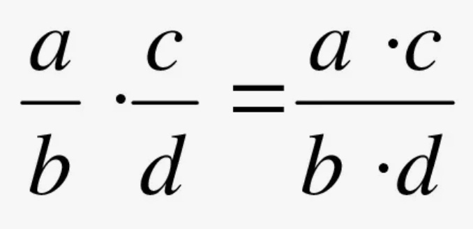
Чтобы умножить дробь на дробь, нужно перемножить их числители и их знаменатели.

Формула:

Умножение обыкновенных дробей
Умножение обыкновенных дробей

Пример 1: Умножим 2/3 на 4/5.

(2/3) * (4/5) = (2 * 4) / (3 * 5) = 8/15

Пример 2: Умножим 1/2 на 7/8.

(1/2) * (7/8) = (1 * 7) / (2 * 8) = 7/16

Сокращение дробей до умножения

Чтобы облегчить вычисления, дроби можно сокращать еще до выполнения умножения. Сокращать можно любой числитель с любым знаменателем.

Пример 3: Умножим 3/8 на 4/9.

Запишем пример: (3/8) * (4/9)

Мы видим, что числитель первой дроби (3) и знаменатель второй дроби (9) делятся на 3. Сокращаем их: 3:3=1, 9:3=3. Получаем (1/8) * (4/3).

Теперь видим, что знаменатель первой дроби (8) и числитель второй дроби (4) делятся на 4. Сокращаем их: 8:4=2, 4:4=1. Получаем (1/2) * (1/3).

Теперь перемножаем: (1 * 1) / (2 * 3) = 1/6.

Умножение дроби на натуральное число

Любое натуральное число можно представить в виде дроби со знаменателем 1.

Правило:

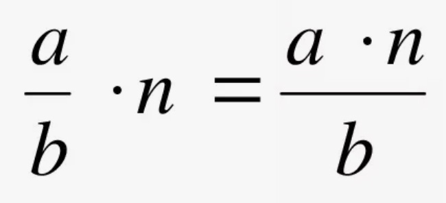
Чтобы умножить дробь на натуральное число, нужно числитель дроби умножить на это число, а знаменатель оставить без изменения.
Умножение дроби на натуральное число
Умножение дроби на натуральное число

2. Деление обыкновенных дробей

Деление дробей основано на одном очень важном понятии — взаимно обратных дробях.

Взаимно обратные дроби — это две дроби, произведение которых равно 1.

Чтобы получить дробь, обратную данной, нужно поменять местами числитель и знаменатель.

Дробь, обратная a/b, — это b/a.

Дробь, обратная 3/4, — это 4/3. Проверка: (3/4) * (4/3) = 12/12 = 1.

Число 5 можно представить как 5/1. Дробь, обратная ему, — 1/5.

Правило деления:

Чтобы разделить одну дробь на другую, нужно делимое умножить на дробь, обратную делителю.
Деление обыкновенных дробей
Деление обыкновенных дробей

Пример 1: Разделим 2/3 на 4/5.

Делимое — 2/3, делитель — 4/5.

Дробь, обратная делителю, — 5/4.

Теперь выполняем умножение: (2/3) * (5/4) = (2 * 5) / (3 * 4) = 10/12.

Сокращаем результат: 10/12 = 5/6.

Пример 2: Разделим 5/9 на 10.

Представим 10 как дробь: 10/1.

Теперь делим: (5/9) : (10/1) = (5/9) * (1/10)

Умножаем и сокращаем (5 и 10): (1/9) * (1/2) = 1/18

3. Основные выводы и памятка

1. Умножение:

  • Числитель умножаем на числитель.
  • Знаменатель умножаем на знаменатель.

Сокращать можно в любом месте: числитель с числителем, знаменатель со знаменателем, числитель одной дроби со знаменателем другой.

  1. Деление:

Главное правило: «Делить — значит умножить на обратную дробь».

Никогда не пытайтесь делить дроби «в лоб», как при вычитании (ища общий знаменатель). Всегда используйте умножение на обратную дробь.

-4