Добавить в корзинуПозвонить
Найти в Дзене
ПроТуймазы

В Башкирии временно прекратят телевещание

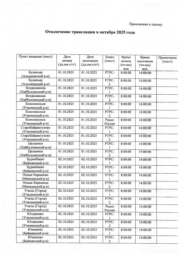
Вещание будет приостановлено по графику. В течение октября в Башкирии будет отключаться теле- и радиовещание, пишет «Республика Башкортостан». Это связано с профилактическими работами, сообщает РТРС «РТПЦ РБ». В каждом из населенных пунктов республике вещание будет приостановлено по графику (смотрите таблицу внизу — время московское). Продолжительность отключения составит семь часов.

Вещание будет приостановлено по графику.

В течение октября в Башкирии будет отключаться теле- и радиовещание, пишет «Республика Башкортостан». Это связано с профилактическими работами, сообщает РТРС «РТПЦ РБ».

В каждом из населенных пунктов республике вещание будет приостановлено по графику (смотрите таблицу внизу — время московское). Продолжительность отключения составит семь часов.