Добавить в корзинуПозвонить
Найти в Дзене

✨"Многоэтажные" дроби

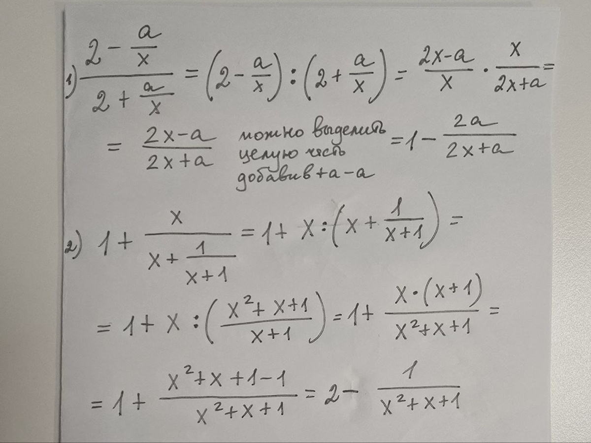
✨"Многоэтажные" дроби✨ ✨ ОГЭ по математике (самостоятельная подготовка) ✨ В воскресенье на занятии ребята спросили меня, как быть, если в задании встретилась многоэтажная дробь. Чтобы не ошибиться я рекомендую заменять "большую" дробную черту на знак деления (см. на картинку)!

✨"Многоэтажные" дроби✨

✨ ОГЭ по математике (самостоятельная подготовка) ✨

В воскресенье на занятии ребята спросили меня, как быть, если в задании встретилась многоэтажная дробь.

Чтобы не ошибиться я рекомендую заменять "большую" дробную черту на знак деления (см. на картинку)!