Добавить в корзинуПозвонить
Найти в Дзене
Катализатор

Гравитация по взглядам Ацюковского невозможна

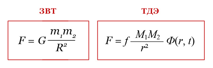
Ацюковский в своей теории эфиродинамики объясняет гравитацию следствием термодиффузии эфира (далее ТДЭ). Цитирую: … суть гравитационного воздействия одних тел на другие заключается в создании в окружающем тела эфире градиента давления за счет охлаждения эфира этими телами. Что по сути полностью соответствует концепции всем известного “закона всемирного тяготения” (далее ЗВТ). Отличия не принципиальны и гравитация Ацюковского по сути все та же формула ЗВТ и все те же “гравитационные ямы” Эйнштейна. Но ЗВТ не выдерживает критики! Ацюковский устранил только одно абсурдное противоречие – необходимость волшебных отрицательных сил для притяжения двух тел друг к другу. Поскольку в общую парадигму добавилась эфирная среда и появились материальные основания для силовых воздействий на тела, то конкретно эта ошибка была устранена. Вот только она была не единственной! Поэтому ТДЭ Ацюковского всего лишь чуть менее сказочная, чем гравитация ЗВТ. К тому же появились другие проблемы и нестыковки, кото

Ацюковский в своей теории эфиродинамики объясняет гравитацию следствием термодиффузии эфира (далее ТДЭ). Цитирую:

… суть гравитационного воздействия одних тел на другие заключается в создании в окружающем тела эфире градиента давления за счет охлаждения эфира этими телами.

Что по сути полностью соответствует концепции всем известного “закона всемирного тяготения” (далее ЗВТ). Отличия не принципиальны и гравитация Ацюковского по сути все та же формула ЗВТ и все те же “гравитационные ямы” Эйнштейна.

Но ЗВТ не выдерживает критики! Ацюковский устранил только одно абсурдное противоречие – необходимость волшебных отрицательных сил для притяжения двух тел друг к другу. Поскольку в общую парадигму добавилась эфирная среда и появились материальные основания для силовых воздействий на тела, то конкретно эта ошибка была устранена. Вот только она была не единственной! Поэтому ТДЭ Ацюковского всего лишь чуть менее сказочная, чем гравитация ЗВТ. К тому же появились другие проблемы и нестыковки, которые автор не хотел замечать. Как и его единичные, но фанатичные последователи.

Далее аргументы против ТДЭ в качестве гравитации. Конечно это не все аргументы и факты, позже я может быть добавлю еще. Но перечисленного ниже уже достаточно, чтобы развеять сказочный миф ТДЭ.

Термодиффузия Ацюковского ничем принципиально не отличается от гравитации ЗВТ и ОТО.
Термодиффузия Ацюковского ничем принципиально не отличается от гравитации ЗВТ и ОТО.

1. В корректной формуле, правильно описывающей физический процесс, не должно быть физически невозможных операций. Но т.к. формула Ацюковского создана по кальке с формулы ЗВТ, то в ней также присутствует невозможная операция перемножения масс. Т.к. масса тела пребывает в пространственном объеме, то чтобы перемножить две массы, нужно перемножать и их объемы. Ну а чтобы перемножать объемы, пространство должно быть не 3-мерным, а как минимум 6-мерным. Поэтому масса в квадрате – такая же невозможная глупость, что и температура в квадрате. К сожалению, людям внушают этот абсурд со школы, когда учитель с серьезным лицом рассказывает наивным доверчивым детишкам про ЗВТ. Ну а позже почти никто уже не задумывается и не переосмысляет. Все просто верят. Примечательно, что формула ЗВТ единственная, где перемножаются массы. Нигде, ни для каких практических задач возводить массу в квадрат не требуется. Но разве кто-то будет задумываться о таких мелочах? Люди просто верят умным дядечкам ученым и особенно таким “гениям” как Ньютон с Эйнштейном. А теперь вот еще и Ацюковскому.

2. Еще одно наследие из ЗВТ в гравитации Ацюковского – всего лишь одна сила притяжения между двумя массами. Никакие отталкивающие силы и любые другие силы для устойчивого равновесия в орбитальном движении космических тел в формуле не учитываются. Поэтому в гравитации за счет ТДЭ баланс для устойчивого вращения планет, их спутников и любых других условно пассивных тел достигается ТОЛЬКО за счет линейной орбитальной скорости тела, движущегося исключительно по инерции. Запоминаем важный нюанс! Орбитальное движение планет, а также их вращение вокруг своей оси – ТОЛЬКО ПО ИНЕРЦИИ! При этом никакие факторы не могут повлиять на равновесие. Следовательно, баланс орбитальных скоростей и их направление корректируется волшебным образом. Судите сами. Вот летит наша планета вокруг Солнца, со временем она развивается и набирает массу. Но баланс не нарушается. За миллионы и даже миллиарды лет на Землю падали всякие метеоры, астероиды и даже ее собственные луны! Одна из таких катастроф отклонила земную ось аж на 24 градуса. Но с орбитальным движением все в порядке, ведь равновесие у нас волшебное, оно не позволит Земле сойти со своей орбиты и упасть на Солнце. Ну и про Солнце… Представляете, сколько всяких излучений летит от нашего светила? Там весь спектр всевозможных волн, а кроме того летит в огромном количестве и вещественная материя – протоны, водород, ядра гелия и прочая мелочь… Соответственно, в Солнечной системе все эти излучения создают материальную среду с далеко ненулевой плотностью, которая движется во все стороны от Солнца и поперек движения планет. И эта среда не может не создавать СОПРОТИВЛЕНИЕ для движения планет и их спутников. Пусть оно будет небольшое, но постоянное. И пусть за год оно почти не скажется на балансе. Но за тысячи лет? За миллионы? Миллиарды?

Более того, какое-то сопротивление также должно быть и у эфирной среды. Ведь эфир по Ацюковскому обладает свойствами реального газа: плотностью, давлением, температурой, вязкостью и сжимаемостью. Однако, НИЧТО не сказывается на скорости движения планет по инерции. Чувствуете, как сходит на нет сказочная байка от адептов ТДЭ? А ведь еще обязательно нужно напомнить про эллиптические орбиты большинства планет, которые на одних только силах притяжения даже гипотетически невозможны! Планеты либо должны падать на Солнце, либо вылетать из Солнечной системы куда подальше.

3. Теперь, пожалуй, самое поразительное и необъяснимое для меня в теории Ацюковского. Буквально вся теория построена на эфирных вихрях, из которых состоят любые частицы и где-то даже их электромагнитные взаимодействия. Но во главе угла стоит ТДЭ, а сам вихрь функционально используется в основном лишь для охлаждения эфира в этом вихре. Автор не рассматривает вихревое (!) движение эфирной среды вокруг тел в качестве ДВИЖУЩЕЙ СИЛЫ для других тел. Простой пример. Земля вращается вокруг своей оси. И поскольку вокруг нее повсюду эфирная среда со свойствами газа, то вращение Земли естественным образом должно закручивать вихрем и эфир вокруг себя (на самом деле конечно наоборот – гравитационный вихрь закручивает Землю, а сам он возникает из-за течения эфирной среды к своему “стоку” – к земному ядру). И т.к. у эфира есть плотность, вязкость и прочие свойства газа, то вихрь ОБЯЗАТЕЛЬНО должен влиять на движение каких-либо тел внутри своих границ. Например Луны. А также МКС и других искусственных орбитальных аппаратов, которые вовсе не из-за прихоти запускаются только в направлении вращения Земли. Потому что если запустить спутник ПРОТИВ движения эфирного вихря, то спутник будет быстрее терять высоту из-за большего сопротивления среды (движение против течения).

Это ведь логично и понятно как 2х2=4. Но нет! Для гравитации Ацюковского нужна только термодиффузия. Поэтому масса всякого тела стремится к массе другого тела всегда ПО ПРЯМОЙ как в ЗВТ, если конечно эти массы не имеют собственной скорости движения. Так эфир Ацюковского получается ущербным, можно даже сказать декоративным, т.к. он лишен наиважнейшего вида движения – масштабных гравитационных течений вокруг звезд и планет. Очевидно для Ацюковского таких течений просто не существовало, а адепты его теории признают их только для галочки, на словах. Поэтому в формуле гравитации за счет ТДЭ гравитационным вихрям как не было места, так и нет. Они там никому не нужны. Все же И ТАК РАБОТАЕТ! Как в ЗВТ и ОТО “работает” у релятивистов, ТОЧНО ТАК “работает” и у эфиродинамщиков. Лекала-то ведь те же самые.

4. На картинках ниже два варианта как эфирная среда может приталкивать тела к земле, создавая пресловутую силу тяжести и g. На рис. 1 за счет течения эфира к земному ядру, а на рис. 2 за счет ТДЭ.

-3

В первом случае перепад температуры эфира не нужен, чтобы создавать g, потому что направленное давление на тело оказывает поток эфирных частиц. Как температура воды в реке не имеет большого значения, чтобы течение реки двигало плот, так и температура эфирного потока не важна, чтобы двигать тела. Эфирная среда окружает тело (каждый его атом) своей плотностью и внешним давлением и просто движет, т.к. перемещается вся масса окружающего эфира в одном направлении. Механика тут очень естественная и понятная. Смотрим на обычный водоворот и по его аналогии вникаем в суть механики гравитации.

Во втором случае именно перепад эфирной температуры создает разницу давлений на тела. Поскольку гравитация воздействует на каждый атом тела в отдельности, пропорционально массе, то значит и перепад температуры / давления эфира должен быть для каждого атома на любом расстоянии в пределах гравитационного взаимодействия. Причем такой перепад, чтобы он в итоге соответствовал g. Но если на минуточку включить критическое мышление, то можно понять, что диаметр атома – это СЛИШКОМ МАЛОЕ расстояние и там не может быть требующегося перепада температуры. По той же логике можно утверждать, что температура воздуха в пределах микрона имеет какой-то заметный градиент, причем всегда стабильный и по одному неизменному вектору. Чушь ведь несусветная! Особенно, если вспомнить про конвекционные потоки, которые и для эфира не могут быть чужды, ибо эфир – реальный газ. Строить теорию гравитации на такой чехарде – абсурд.

5. А теперь рассмотрим работу ТДЭ на астрономических расстояниях. Держим в уме, что средняя скорость теплового движения эфирных частиц немыслимо огромная – какие-то там безумные миллиарды км/с. По Ацюковскому это 6,6*10^21 м/с. Далее ищем причину, которая не позволяет выравниваться температуре эфира максимально быстро и на минимальном расстоянии к поверхности звезд и планет. На сколько километров может тянуться эфирный температурный градиент от поверхности Земли? Несколько тысяч км? Однако нам нужно около миллиона км, чтобы земная гравитация могла удерживать Луну на своей орбите. Далее я дам аналогии, которые помогут разобраться. Они грубоватые, но зато очень доходчивые.

Представьте себе работающую морозильную камеру где-нибудь в Сахаре под палящим солнцем в абсолютно безветренную погоду. Давайте мы даже закроем морозилку тентом от прямых солнечных лучей, чтобы тент с высоты 10 метров бросал непроницаемую тень на нее. Вопрос: насколько далеко от себя морозилка будет охлаждать воздух вокруг? На метр? На два? Может даже на расстоянии трех метров будет какое-то понижение температуры? Но уж точно не на расстоянии в сотню метров, правильно? Про километры и думать смешно.

Другой пример. Плывем подальше от берега в океан и на глубину опускаем кипятильник или ту же морозильную камеру. Далее отвечаем на тот же вопрос с тем же результатом. А ведь температура воздуха или воды совсем ничтожная в сравнении с эфирной, при том что эфир – столь же реальный материальный газ. Как тогда будет возможен температурный градиент в немыслимо горячем эфире на расстояниях в миллионы и миллиарды километров?

В механике ТДЭ – НИКАК!

А вот если принять, что вокруг звезд и планет есть гравитационные вихри, тогда градиенты температуры и давлений сами собой нарисуются естественным образом. Правда, в этом случае всю концепцию ТДЭ придется выбросить на помойку, где ей и место.

PS. Данная статья была написана преимущественно для Дмитрия Лосинца, автора канала “Осенило”, который настырно продвигает гравитацию по версии ТДЭ Ацюковского и систематически игнорирует любую конструктивную критику. Вопреки всякой логике и фактам. Ложных надежд не питаю, я на 99% уверен, что моя статья не скажется вразумительно на фанатичном упрямстве Дмитрия.) Я просто выполнил обещанное.