Добавить в корзинуПозвонить
Найти в Дзене
Компания LIGA

Как правильно подобрать углы и количество зубов прифуговочной фрезы?

Кромкооблицовочный станок — это не просто агрегат на производстве, а сердце мебельного цеха. От того, насколько грамотно подобран и обслужен инструмент, напрямую зависят производительность, стабильность качества и срок службы оборудования. Вложив серьёзные средства в станок, каждый производитель рассчитывает на максимальную отдачу — быстрый цикл и безупречную кромку без сколов. Одним из ключевых факторов здесь является выбор алмазной прифуговочной фрезы. Казалось бы, деталь небольшая, но именно она определяет, сможет ли станок работать на проектной скорости и обеспечивать требуемое качество. Разберёмся, как правильно подобрать фрезу по двум важнейшим параметрам: количеству зубьев и аксиальному углу. В заводской комплектации большинство кромкооблицовочных станков оснащены фрезами с системой зубьев z3+3 и стандартным аксиальным углом 30°. Это универсальный вариант, хорошо знакомый большинству мебельщиков. Его ресурс и качество обработки вполне удовлетворяют потребности среднескоростных л
Оглавление

Кромкооблицовочный станок — это не просто агрегат на производстве, а сердце мебельного цеха. От того, насколько грамотно подобран и обслужен инструмент, напрямую зависят производительность, стабильность качества и срок службы оборудования. Вложив серьёзные средства в станок, каждый производитель рассчитывает на максимальную отдачу — быстрый цикл и безупречную кромку без сколов.

Одним из ключевых факторов здесь является выбор алмазной прифуговочной фрезы. Казалось бы, деталь небольшая, но именно она определяет, сможет ли станок работать на проектной скорости и обеспечивать требуемое качество. Разберёмся, как правильно подобрать фрезу по двум важнейшим параметрам: количеству зубьев и аксиальному углу.

алмазные фуговальные фрезы Surrey
алмазные фуговальные фрезы Surrey

Почему это важно

В заводской комплектации большинство кромкооблицовочных станков оснащены фрезами с системой зубьев z3+3 и стандартным аксиальным углом 30°. Это универсальный вариант, хорошо знакомый большинству мебельщиков. Его ресурс и качество обработки вполне удовлетворяют потребности среднескоростных линий, но есть ограничение:

· скорость подачи — не более 15 м/мин,

· при превышении этого значения качество кромки начинает падать: появляются сколы, заусенцы и следы перегрева.

А теперь представим современное производство, где станки способны работать со скоростью 24, 30 и более метров в минуту. Очевидно, что базовый комплект инструмента просто не раскрывает потенциал оборудования.

Принцип взаимосвязи

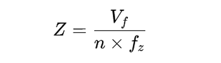
Количество зубьев напрямую связано со скоростью подачи. Здесь работают три ключевых параметра:

· n — частота вращения шпинделя,

· fz — подача на зуб,

· Vf — скорость подачи.

Их можно связать формулой:

-2

Из этого выражения видно: чем выше требуемая скорость подачи (Vf), тем больше зубьев (Z) необходимо при фиксированных оборотах шпинделя и подаче на зуб. И наоборот — при меньшем числе зубьев придётся снижать скорость подачи, чтобы сохранить качество обработки.

-3

На практике мебельные предприятия редко ведут точные расчёты — чаще ориентируются на проверенные рекомендации. Они позволяют быстро сопоставить скорость подачи станка и оптимальное количество зубьев, сохраняя баланс между производительностью и чистотой кромки.

Практические рекомендации

Для фуговальных фрез с классическим углом 30° можно ориентироваться на следующие диапазоны:

· Z = 2+2 — до 10 м/мин

· Z = 3+3 — до 15 м/мин

· Z = 4+4 — до 20 м/мин

· Z = 5+5 — до 25 м/мин

· Z = 6+6 — до 30 м/мин

Повторюсь, чем выше скорость подачи, тем больше зубьев допускается (и даже необходимо) использовать. Это снижает нагрузку на каждый зуб, уменьшает вибрации и обеспечивает равномерную работу фрезы.

К слову, в линейке компании LIGA представлены алмазные фуговальные фрезы Surrey со всеми актуальными вариантами систем зубьев — от z2+2 до z6+6. Это удобно: можно подобрать инструмент под конкретную модель станка и режимы работы. Подробности доступны на сайте в разделе фуговальные PCD-фрезы Surrey.

Примеры на оборудовании KDT

таблица с примерами подбора фуговальных фрез
таблица с примерами подбора фуговальных фрез

Такой подход позволяет добиться идеального баланса: максимально использовать возможности станка, сохранив чистоту обработки.

А что насчёт углов?

В статье мы рассмотрели классический угол 30°. К примеру, производитель Surrey выпускает и фрезы с углами 45° и 54°. Они дают дополнительные преимущества в обработке сложных материалов и позволяют ещё больше повысить качество кромки на высоких скоростях.

Об этом — в следующей публикации 😉