Добавить в корзинуПозвонить
Найти в Дзене
Ксения Калита

Прогноз результатов живорождения при переносе одного эуплоидного замороженного эмбриона

Отбор бластоцист для проведения циклов seFET (single euploid frozen embryo transfers - перенос одного эуплоидного замороженного эмбриона) представляет собой окончательный шаг для пар, стремящихся к положительному клиническому результату. Важно уделять приоритетное внимание эмбрионам с наибольшим потенциалом имплантации в каждом клиническом контексте и информировать пациенток об их прогнозируемых шансах на беременность. Отбор бластоцист в основном основан на морфологических характеристиках, и когда эмбрионы одного и того же морфологического класса доступны для переноса, существует отсутствие консенсуса по отбору эмбрионов и расстановке приоритетов. В циклах seFET важно информировать и консультировать пациентов относительно их потенциального успеха, основываясь на морфологической оценке эмбриона, выбранного из группы (если таковой имеется); однако нельзя игнорировать межиндивидуальную вариабельность оценки эмбриона в группе. Это приводит к ошибочной стратегии, не позволяющей определить,

Отбор бластоцист для проведения циклов seFET (single euploid frozen embryo transfers - перенос одного эуплоидного замороженного эмбриона) представляет собой окончательный шаг для пар, стремящихся к положительному клиническому результату. Важно уделять приоритетное внимание эмбрионам с наибольшим потенциалом имплантации в каждом клиническом контексте и информировать пациенток об их прогнозируемых шансах на беременность. Отбор бластоцист в основном основан на морфологических характеристиках, и когда эмбрионы одного и того же морфологического класса доступны для переноса, существует отсутствие консенсуса по отбору эмбрионов и расстановке приоритетов.

В циклах seFET важно информировать и консультировать пациентов относительно их потенциального успеха, основываясь на морфологической оценке эмбриона, выбранного из группы (если таковой имеется); однако нельзя игнорировать межиндивидуальную вариабельность оценки эмбриона в группе. Это приводит к ошибочной стратегии, не позволяющей определить, какой эмбрион должен быть приоритетным для переноса. Тем не менее, морфология эмбриона сама по себе не является единственным фактором, который следует учитывать при выборе эмбриона в циклы seFET, поскольку многие переменные могут положительно или отрицательно влиять на потенциал имплантации эмбриона.

Недавно появились данные, позволяющие интегрировать клинические результаты в модели прогнозирования для оптимизации отбора эмбрионов. Предыдущие исследования, основанные на моделях машинного обучения методам ЭКО в основном направлены на отбор эмбриона с наиболее высокой степенью морфологии, прогнозирование образования бластоцисты, предупреждение риска анеуплоидии и имплантацию с целью улучшения результатов ЭКО. Хотя в нескольких исследованиях было показано, что в сочетании с морфологическими параметрами эмбриона и влиянием на исходы имплантации в циклах по-прежнему отсутствуют надежные прогностические модели исходов ЖР (живорождения), позволяющие априори прогнозировать клинические шансы пациентов.

Стремясь улучшить клинические результаты в циклах seFET, авторы рассматривают точный индивидуальный подход к отбору эмбрионов и циклам. Это важно для обеспечения четкого понимания вероятности успеха и, следовательно, управления ожиданиями. Прогностические модели обычно включают несколько факторов, таких как возраст женщины и/или ИМТ, причины бесплодия или продолжительность бесплодия. Тем не менее, эффективность прогностических моделей может существенно различаться, причем некоторые из них демонстрируют тенденцию к чрезмерному обучению данным или плохо работают в группах валидации. Несмотря на эти усилия, необходима более надежная и хорошо откалиброванная модель, которая могла бы надежно прогнозировать исходы для различных групп пациентов.

Источник: Abdala A, Kalafat E, Elkhatib I, Bayram A, Melado L, Fatemi H, Nogueira D. Predictive model for live birth outcomes in single euploid frozen embryo transfers: a comparative analysis of logistic regression and machine learning approaches. J Assist Reprod Genet. 2025 Aug;42(8):2641-2650. doi: 10.1007/s10815-025-03524-3. Epub 2025 May 22. PMID: 40402397; PMCID: PMC12423375.

Методы: Было проведено ретроспективное когортное исследование, включающее seFEТ, проведенное в период с марта 2017 года по декабрь 2023 года.

Модели прогнозирования были построены с использованием:

- логистической регрессии (LR - logistic regression);

- классификатора случайного леса (RFC - Random Forest Classifier) — это алгоритм машинного обучения, который используется для задач классификации. Он основан на методе ансамблей и объединяет несколько деревьев решений для улучшения точности и устойчивости модели);

- метод опорных векторов (SVM - Support Vector Machines — алгоритм машинного обучения, который применяется для задач линейной и нелинейной классификации, регрессии и обнаружения аномальных данных);

- ускорителя градиента (XGBoost).

Рассматриваемыми переменными, связанными с результатами ЖР, были:

- расширение бластоцисты;

- внутренняя клеточная масса бластоцисты (ВКМ - inner cell mass (ICM));

- качество TЭ (trophoectoderm - трофоэктодерма);

- день (D) биопсии TЭ (D5, D6 и D7);

- возраст женщины;

- индекс массы тела (ИМТ);

- расстояние от дна матки при переносе эмбриона;

- подготовка эндометрия в рамках естественного цикла (ЕЦ) или заместительной гормональной терапии (ЗГТ);

- толщина эндометрия.

Рассматривались бластоцисты с качеством ≥BL3 СС по Гарднеру*

*оценка бластоцисты BL3CC по шкале Гарднера обозначает эмбрион низкого качества.
Шкала Гарднера состоит из одной цифры и двух заглавных букв.
Цифра описывает размер полости бластоцисты, первая буква — качество эмбриобласта (внутренней клеточной массы), вторая буква — трофобласт (качество внешней клеточной массы). Цифра 3 в обозначении BL3CC означает, что это полная бластоциста, полость заполняет почти весь эмбрион.
Буква C в обозначении указывает на качество внутренней клеточной массы: клеток мало или нет совсем.
Буква C также обозначает качество трофэктодермы: в ней несколько вытянутых клеток.
При нормальном развитии большинство бластоцист на 5-й день должны иметь оценку BL3АА, BL4АА, BL4BB, BL5BB, BL5AA. Однако в редких случаях эмбрионы с оценкой BL3CC тоже способны давать беременность)

А для анализа были отобраны те, которые подверглись биопсии на D5, D6 или D7 и были проанализированы с помощью секвенирования следующего поколения (NGS - next-generation sequencing) на PGT-A и были использованы в последующем цикле seFET в цикле ЕЦ или на ЗГТ.

Целью данного исследования была разработка и валидация прогностической модели исходов ЭКО, позволяющей оценить вероятность успешного консультирования пациента. Таким образом, была проведена оценка эффективности различных прогностических моделей, включающих ключевые параметры ЭКО, для определения наиболее надежного подхода для этой цели.

Возраст женщин и мужчин, женский ИМТ, уровень антимюллерова гормона (AMH), тип бесплодия (первичное и вторичное), продолжительность бесплодия (годы), протоколы подготовки эндометрия (циклы ЕЦ и ЗГТ), расстояние от дна матки после переноса эмбриона (мм), степень расширения бластоцисты, ВКМ и качество TЭ, и день биопсии - все эти переменные рассматривались с потенциальной значимостью, основанной на уже опубликованной литературе и клинической достоверности. Поэтому были построены различные модели прогнозирования с использованием нескольких подходов, включая LR, RFC, SVM и XGBoost, чтобы сравнить, какие из них имеют лучшие результаты. Прогностическая модель, показавшая наилучшие результаты, была впоследствии подвергнута дальнейшему тестированию производительности с окончательной статической четырехкратной перекрестной валидацией.

Оценка бластоцисты

Степень расширения бластоцисты, а также ВКМ и качество TЭ оценивались непосредственно перед биопсией и оценивались в соответствии с модифицированной шкалой Гарднера. Бластоцисты оценивали по часам после оплодотворения на D5 культуры, и если качество считалось неоптимальным, а количество клеток, присутствующих в TЭ, было недостаточным для проведения биопсии TЭ в соответствии с обычной клинической практикой (< BL3CC), бластоцисты оставляли в культуре для повторной оценки на D6. Последний день исследования бластоцисты для проведения биопсии был на D7 и бластоцисты размером менее BL3СС не подходили для биопсии и впоследствии были отбракованы. Оценка эмбрионов проводилась старшими эмбриологами попарно, чтобы уменьшить взаимную вариабельность. Кроме того, ежемесячно проводится внутренний контроль качества в соответствии со стандартными операционными процедурами, чтобы обеспечить точную оценку качества эмбрионов всеми эмбриологами.

Биопсия эмбриона и процедура введения трубок

Все бластоцисты достаточного качества (≥ BL3CC), доступные на D5, D6 или D7, были подвергнуты биопсии для анализа PGT-A. Биопсийную пипетку с внутренним диаметром 30 мкм использовали для аспирации от трех до десяти клеток TЭ. Непосредственно перед выполнением биопсии TЭ в прозрачной зоне было выполнено сверление лазером, взяты клетки TЭ и аккуратно разрыхлены с помощью лазерного импульса интенсивностью 2,2 мс с последующим полным отсоединением с помощью механического метода хетчинга. Биоптаты промывали, помещали в пробирки для ПЦР по методу Эппендорфа объемом 0,2-мл, содержащие 2,5 мкл физиологического раствора, обогащенного фосфатом, и хранили при температуре -20°C до дальнейшей обработки для анализа PGT-A.

Тип протоколов ПЭ и процедуры переноса эмбрионов (ПЭ)

Протокол ПЭ (циклы ЕЦ или ЗГТ) подбирался индивидуально по усмотрению врача и с учетом особенностей пациента. При ЕЦ прием 100 мг прогестерона начинался вечером в день овуляции, а затем продолжался три раза в день до проведения теста на беременность. В циклах ЗГТ пациенткам дополнительно назначали эстрадиол в дозе 4 мг до 2-го дня и увеличивали дозу до 6 мг до тех пор, пока не будет видна трехслойная оболочка эндометрия. После этого ежедневно назначали прогестерон в начальной дозе 100 мг, который вводился вагинально (день 0), который был увеличен в день от 1 до трех раз в день и продолжался до проведения теста на беременность. Отбор эмбрионов для переноса был основан на морфологических характеристиках бластоцист и дне проведения биопсии, соответственно, на пуле эмбрионов, имеющихся у каждого пациента.

Результаты

Характеристики пациентов

В анализ было включено 1979 циклов seFET у 1459 пар. Пациенты, прошедшие только один цикл seFET, были значительно старше и имели более низкие уровни АМГ. Значимых различий по ИМТ, типу бесплодия или его длительности не наблюдалось.

Однофакторный и многофакторный логистический регрессионный анализ

После проведения однофакторного смешанного логистического регрессионного анализа результаты показали, что категории ИМТ, протоколы ЭП, расширение бластоцисты, качество ВКМ, качество ТЭ, день биопсии и толщина эндометрия были достоверно связаны с исходом ЖР. Согласно многофакторному анализу, за исключением расширения бластоцисты, все эти переменные оставались значимыми для прогнозирования исходов ЖР; поэтому они были использованы в прогностических моделях. В окончательной модели параметры, ранжированные от наиболее важных к наименее важным для достижения исхода ЖР, были ИМТ, качество ВКМ, качество ТЭ, день биопсии ТЭ и тип протокола ЭП.

Различные прогностические модели для оценки исхода живорождения

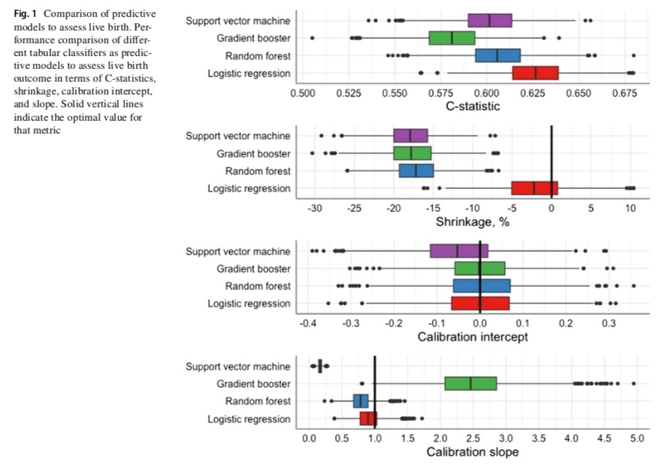
В 2000 повторных проверочных выборках модель LR показала наилучшие результаты с точки зрения общей эффективности. Модели RFC, SVM и XGBoost, как и ожидалось, существенно превзошли обучающий набор и были отмечены значительно более высоким сжатием C-статистики по сравнению с моделью LR. При этом модель LR показала наилучшие результаты калибровки в выборках для проверки. Окончательная модель, признанная лучшей, была подобрана с использованием LR и подвергнута статической четырёхкратной перекрёстной проверке.

В четырёхкратной перекрёстной проверке модель LR имела средний AUPRC* 0,62 и средний AUROC* 0,63 (AUPRC* и AUROC* — это метрики для оценки эффективности моделей в машинном обучении. AUROC измеряет, насколько хорошо модель может различать два класса, например «спам» и «не спам». Показывает, как способность модели правильно идентифицировать положительный класс (например, спам) меняется при изменении порогового значения решения. AUPRC фокусируется на точности модели — сколько правильных положительных прогнозов она делает. Это особенно важно, когда классы несбалансированы, то есть один класс гораздо реже другого). Модель LR была хорошо откалибрована во всех выборках для перекрёстной проверки. На основе распределения и группировки предсказываемых вероятностей исхода LB были созданы четыре категории прогноза в зависимости от предсказательной вероятности (плохой, удовлетворительный, хороший и наивысший).

Прогностическая модель, основанная на модели логистической регрессии и категориях прогноза

Результаты ЖР в категориях «плохой», «удовлетворительный», «хороший» и «высокий» составили 24,8%, 45,7%, 56,2% и 70,4% соответственно.

Женщины в категориях «хороший» и «высокий» прогноз были моложе, имели более низкий ИМТ и имели более короткую продолжительность бесплодия, а ПЭ проводились в неполный цикл чаще, чем циклы ЗГТ. Качество ВКМ и ТЭ перенесенных эмбрионов было выше, и биопсия ТЭ проводилась на более ранние дни (D5) у женщин, включенных в категории «хороший» и «высокий» прогноз. Хотя толщина эндометрия в первых трёх группах прогноза была одинаковой, у женщин, вошедших в верхнюю прогнозную категорию, эндометрий был значительно толще, чем в остальных группах.

На основании проведенного анализа была разработана прогностическая модель исхода ЖР и внедрена в веб-приложение ABLE (Assessing Birth Likelihood for Euploid Blastocys - Оценка вероятности рождения эуплоидных бластоцист). Оно доступно для бесплатного доступа и использования, а также для внешней валидации по адресу https://artfertilityclinics.shinyapps.io/ABLE/

Обсуждение

Отбор эмбрионов представляет собой важнейший этап в ЭКО для достижения успешного результата. Многие факторы могут быть отрицательно связаны с результатами seFET, независимо от того, переносятся ли бластоцисты хорошего качества. Прозрачное информирование о потенциале выбранных эмбрионов для переноса на основе моделей машинного обучения усилит вовлеченность пациентов, укрепит доверие и будет способствовать развитию поддерживающего лечения бесплодия.

Рис. 1. Сравнение прогностических моделей для оценки живорождения. Сравнение эффективности различных табличных классификаторов в качестве прогностических моделей для оценки исхода живорождения с точки зрения C-статистики, усадки, пересечения калибровки и наклона. Сплошные вертикальные линии указывают на оптимальное значение для этого показателя
Рис. 1. Сравнение прогностических моделей для оценки живорождения. Сравнение эффективности различных табличных классификаторов в качестве прогностических моделей для оценки исхода живорождения с точки зрения C-статистики, усадки, пересечения калибровки и наклона. Сплошные вертикальные линии указывают на оптимальное значение для этого показателя

Тем не менее, существующие модели прогнозирования, основанные на клинических результатах, которые включают исключительно эуплоидные эмбрионы с интеграцией характеристик пациента и цикла, до сих пор отсутствуют. Поэтому данная работа была направлена на разработку и валидацию прогностической модели для результатов ЖР в циклах seFET, интегрирующей морфологию бластоцисты, день биопсии и характеристики пациента, что может обеспечить более точный клинический прогноз. Результаты данного исследования показали, что при совместном анализе этих множественных переменных модель ЖР оказалась наиболее эффективным предиктором в данной системе клинических данных. Представленная в данном исследовании модель может служить ценным инструментом для оценки потенциала имплантации эмбриона.

Рис. 2. Кривые точности воспроизведения и рабочих характеристик приемника окончательной модели в четырехкратных тестах перекрестной проверки. Средняя площадь под кривой точности воспроизведения составила 0.62. Средняя площадь под кривой ROC составила 0,63
Рис. 2. Кривые точности воспроизведения и рабочих характеристик приемника окончательной модели в четырехкратных тестах перекрестной проверки. Средняя площадь под кривой точности воспроизведения составила 0.62. Средняя площадь под кривой ROC составила 0,63

Оценка и отбор эмбрионов для циклов seFET в основном основаны на статической морфологии эмбриона, покадровой морфокинетике и/или результатах эуплоидии. Тем не менее, прогнозирование имплантации по-прежнему остается сложным процессом.

Отбор эмбрионов, основанный исключительно на морфологической оценке, приводит к более высокой меж- и внутриоператорской вариабельности и непостоянству. Следовательно, алгоритм, управляемый искусственным интеллектом, является перспективным инструментом для интеграции в процесс отбора эмбрионов и прогнозирования результатов беременности.

В то время как многие исследования были сосредоточены только на качестве эмбрионов и дне биопсии для прогнозирования потенциала имплантации, в настоящем исследовании было объединено несколько переменных для прогнозирования вероятности ЖР с учетом пула эуплоидных эмбрионов, доступных для переноса. Категоризация модели обеспечивает более персонализированную оценку шансов каждого пациента на успех. Взяв в качестве примера крайние случаи, пациентки из «высшей» категории, у которых были такие факторы, как более толстый эндометрий, более качественные эмбрионы и естественный цикл ЭКО, с большей вероятностью имеют шанс на живорождение выше 70%. Напротив, у пациенток из «плохой» категории шансы на успех были гораздо ниже. Разбивая сложные данные на простые для понимания, интуитивно понятные категории с четко определенными показателями успеха, репродуктологи могут устанавливать более реалистичные ожидания для пациентов и способствовать принятию обоснованных решений.

Кроме того, разработанная прогностическая модель может быть легко доступна онлайн и использоваться в качестве инструмента при выборе эмбриона для переноса, а также для информирования пациентов об их клинических шансах на основе сделанного выбора эмбриона. Данная модель подтвердила, что ИМТ, качество бластоцист, день проведения биопсии ТЭ, тип протокола ПЭ и толщина эндометрия тесно связаны с положительным клиническим исходом, как уже было опубликовано. Тем не менее, ни одна из этих переменных ранее не анализировалась в полном объеме, как представлено в текущем исследовании.

Недавний обзор клинических прогностических моделей, основанных на национальных данных из США и Великобритании, показал, что возраст женщины, длительность бесплодия, ИМТ женщины и АМГ являются важными предикторами до начала лечения, в то время как количество полученных яйцеклеток добавляет важную ценность в прогностические модели ЭКО. Однако ни одно из этих исследований не включало циклы seFET, что делает данное исследование ценным вкладом в существующую литературу. Женский возраст не был включен в качестве предикторного фактора в модель, разработанную в данном исследовании, поскольку он не показал никакой связи с исходом ЖР в многофакторном анализе, что подтверждает результаты, представленные Лоуренсом и соавторами, где показано, что частота ЖР одинакова при переносе эуплоидных бластоцист у всех женщин в возрасте от ≤35 до >40 лет. Более того, интеграция эуплоидии с днем биопсии ТЭ и качеством бластоцист подтверждает важность и оригинальность настоящего исследования. Важно подчеркнуть, что, хотя ИМТ был статистически значимым отрицательным предиктором живорождения, его клиническое влияние представляется скромным по сравнению с ключевыми факторами, связанными с эмбрионом, такими как качество ВКМ и ТЭ или сроки (день) биопсии. Однако ИМТ может способствовать кумулятивному риску в сочетании с другими неоптимальными факторами.

Онлайн-калькулятор данной модели призван помочь врачам контекстуализировать этот эффект, иллюстрируя, как ИМТ взаимодействует с другими характеристиками пациента и эмбриона, влияя на общую вероятность успеха. Разработанное приложение, доступное онлайн (https://artfertilityclinics.shinyapps.io/ABLE/), может быть полезным инструментом для врачей при обсуждении возможностей успеха лечения при планировании цикла seFET, а также для эмбриологов при выборе наилучшего доступного эмбриона из пула эуплоидных бластоцист (если таковой имеется) на момент разогрева эмбрионов.

Согласно имеющейся литературе, существуют различные прогностические модели для исходов ЖР. Большинство этих моделей включают в себя переменные, аналогичные тем, которые были реализованы для разработки онлайн-приложения ABLE, представленного в данном исследовании, за исключением эуплоидных эмбрионов, что повышает надежность этой прогностической модели. Предыдущие цитируемые исследования, как правило, опирались на один прогностический метод; тем не менее, настоящее исследование проводит всестороннее сравнение нескольких прогностических моделей и продемонстрировало, что модель LR превзошла другие методы, такие как RFC, SVM и XGBoost, в прогнозировании результатов переноса эмбрионов. Стоит отметить, что это не следует трактовать как однозначно лучшую модель в целом.

В зависимости от клинического варианта использования, ожидается, что большинство этих моделей будут работать аналогично. Включая несколько алгоритмов, авторы стремились проиллюстрировать, что различия в производительности могут быть незначительными при правильном применении моделей. Это добавляет ценную информацию к текущему массиву знаний, поскольку лишь немногие исследования систематически сравнивали эти методологии в контексте результатов переноса эмбрионов. Кроме того, настоящее исследование уникально тем, что предоставляет не только сравнение различных моделей, но и онлайн-приложение, позволяющее прогнозировать результаты ЖР в режиме реального времени. Благодаря интеграции наиболее релевантных клинических и эмбриологических переменных для циклов seFET, приложение служит практическим ресурсом для врачей. Доступность этого онлайн-инструмента облегчает внешнюю валидацию при условии, что аналогичные клинические параметры учитываются при выборе одного эуплоидного эмбриона для переноса в отложенном цикле. Это способствует более широкому применению и помогает установить надежность модели в различных клинических условиях. Прогностическая модель может быть целенаправленно использована для консультирования и планирования пациентов с целью управления ожиданиями и информирования о вероятности успеха с эмбрионом/эмбрионами, уже доступными для цикла seFET.

В заключение, данное исследование отмечает потенциал разработанной модели, которая предсказывает результаты ЖР на основе характеристик пациентов и эмбрионов в циклах seFET, которая может быть доступна онлайн. Кроме того, данное исследование подчеркивает важность сравнения различных моделей прогнозирования результатов ЖР и того, какие переменные следует учитывать в циклах seFET. Насколько известно, это первая разработанная онлайн-модель, которая может оказать реальную помощь при консультировании пациентов относительно вероятности развития ЖР, предлагая более четкую оценку успеха для пациентов, проходящих циклы самолечения.

#ЭКО_япп

#ПГТ-А_япп