Найти в Дзене
Лисёнок_Как решить?

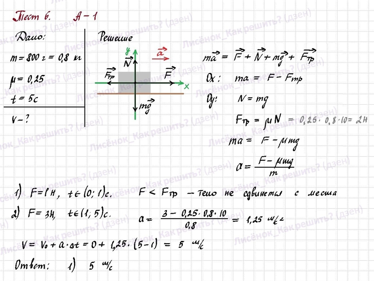
Тест 6. Сила трения

Оглавление

Сборник "Физика. ЦТ. Тренажер". Авторы: В.В. Дорофейчик, В.Н. Жилко. Издание 2022 года.

Раздел 1. Тематические тесты.

Тест 6. Сила трения.

Часть А:

Часть В: