Найти в Дзене
КриптоТыквочка

Числа Фибоначчи: закономерность, которая правит природой и математикой

Числа Фибоначчи — это последовательность, в которой каждое следующее число равно сумме двух предыдущих.
Она начинается так: 0, 1, 1, 2, 3, 5, 8, 13, 21, 34, … Эта закономерность была описана в XIII веке итальянским математиком Леонардо Пизанским, более известным как Фибоначчи. Он привёл её в своей книге Liber Abaci (1202 год), решая задачу о размножении кроликов.
Если обозначить последовательность как
F₀ = 0, F₁ = 1,
то для всех n ≥ 2 выполняется формула: Fₙ = Fₙ₋₁ + Fₙ₋₂ Простая рекурсия порождает удивительно богатую структуру, которая встречается во множестве областей — от природы до архитектуры. Числа Фибоначчи проявляются в самых неожиданных местах: Отношение соседних чисел Фибоначчи приближается к знаменитому золотому числу φ (фи): φ = 1,6180339887… Например: 21 / 13 ≈ 1,615
34 / 21 ≈ 1,619 Чем дальше по последовательности, тем ближе отношение к φ.
Эта связь делает последовательность особенно красивой и фундаментальной — ведь золотое сечение встречается в архитектуре, живопи
Оглавление

Что такое числа Фибоначчи?

Числа Фибоначчи — это последовательность, в которой каждое следующее число равно сумме двух предыдущих.

Она начинается так:

0, 1, 1, 2, 3, 5, 8, 13, 21, 34, …

Эта закономерность была описана в XIII веке итальянским математиком Леонардо Пизанским, более известным как Фибоначчи. Он привёл её в своей книге Liber Abaci (1202 год), решая задачу о размножении кроликов.

🧠 Основная идея

Если обозначить последовательность как

F₀ = 0, F₁ = 1,

то для всех n ≥ 2 выполняется формула:

Fₙ = Fₙ₋₁ + Fₙ₋₂

Простая рекурсия порождает удивительно богатую структуру, которая встречается во множестве областей — от природы до архитектуры.

🌻 Числа Фибоначчи в природе

Числа Фибоначчи проявляются в самых неожиданных местах:

  • 🌻 Расположение семян подсолнечника: количество спиралей влево и вправо часто соответствует соседним числам Фибоначчи (например, 34 и 55).
  • 🌲 Количество лепестков у цветов часто соответствует этим числам — у лилии 3, у лютика 5, у маргаритки 34.
  • 🐚 Спираль раковины наутилуса следует золотой пропорции, связанной с числами Фибоначчи.
  • 🌪️ Даже ураганы и галактики закручиваются по спирали, описываемой тем же законом.

🌀 Связь с золотым сечением

Отношение соседних чисел Фибоначчи приближается к знаменитому золотому числу φ (фи):

φ = 1,6180339887…

Например:

21 / 13 ≈ 1,615

34 / 21 ≈ 1,619

Чем дальше по последовательности, тем ближе отношение к φ.

Эта связь делает последовательность особенно красивой и фундаментальной — ведь золотое сечение встречается в архитектуре, живописи, дизайне и природе.

🧩 Интересные факты

  1. 💡 Числа Фибоначчи и пчёлы

    В колонии пчёл количество самцов и самок в поколениях часто следует числам Фибоначчи: у самцов один родитель, у самок — два.
  2. 🎨 Фибоначчи и искусство

    Множество художников и архитекторов использовали «золотые прямоугольники», основанные на этих числах — от Парфенона до полотен Леонардо да Винчи.
  3. 💻 Фибоначчи в информатике

    Последовательность используется в алгоритмах — например, в поиске Фибоначчи, генерации псевдослучайных чисел, оптимизации и даже в структурах данных (деревья, куча Фибоначчи).
  4. 📈 Фибоначчи и финансы

    В техническом анализе биржевых графиков применяются уровни Фибоначчи (например, 38,2%, 61,8%), отражающие закономерности роста и коррекций цен.

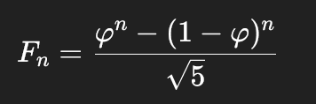
5. 🔢 Формула Бине

Хотя последовательность рекурсивна, существует точная формула для любого члена:
Это — элегантное выражение, связывающее арифметику и геометрию.

-2

🧭 Почему нас так привлекают числа Фибоначчи?

Эта последовательность — пример того, как простое правило рождает гармонию, видимую повсюду.

Фибоначчи словно открыл математический язык, на котором говорит сама природа — язык спиралей, симметрий и пропорций.

✨ Итог

Числа Фибоначчи — это не просто математическая игрушка, а универсальный код красоты и порядка.

Они объединяют искусство, биологию, архитектуру и даже экономику, показывая, что
математика — это не абстракция, а отражение мира вокруг нас.

Друзья, благодарю за внимание)
Напоминаю, что у нас есть свой телеграм-канал, где мы общаемся на тему криптовалют. Вступление бесплатное, ссылки ниже:

https://t.me/+eHkPk3LDGaE0ZjUy
https://t.me/+UdVvSkLQFCs0NzNi

Также у меня есть телеграм-канал, где я выкладываю разборы альткоинов, объясняя и мотивируя выбор монет. Присоединяйтесь:

https://t.me/+J2dV8F5e-tg2MDEy

Буду рад вас видеть!