Найти в Дзене

Как стандарты ISO 14644-1 определяют классификацию чистых помещений

Представьте, что вы участвуете в создании фармацевтического производства: один неверный расчет — и в асептическую зону может попасть «невидимый враг» — частица, которая разрушит стерильность. Как понять, насколько «чистым» должен быть воздух? Как определить, какие допуски частиц принять? Вот тут на арену выходит стандарт ISO 14644-1, который задает единую метрологическую шкалу чистоты воздуха для чистых помещений. Исторически до ISO было множество национальных стандартов — в частности, FED-STD-209E (США). Но он устарел и был официально отменен 29 ноября 2001 года, уступив место ISO 14644-1 и смежным стандартам. ISO 14644-1 впервые появился в 1999 году, а обновленное издание действует с 2015 года. Важный момент: ISO 14644-1 не говорит, как строить чистое помещение, как вести операционную деятельность, как выполнять валидацию процессов. Он лишь устанавливает классы чистоты по концентрации твердых частиц в воздухе — но именно эта «методика измерения частиц» становится основой всех последу
Оглавление

Представьте, что вы участвуете в создании фармацевтического производства: один неверный расчет — и в асептическую зону может попасть «невидимый враг» — частица, которая разрушит стерильность. Как понять, насколько «чистым» должен быть воздух? Как определить, какие допуски частиц принять? Вот тут на арену выходит стандарт ISO 14644-1, который задает единую метрологическую шкалу чистоты воздуха для чистых помещений.

Исторически до ISO было множество национальных стандартов — в частности, FED-STD-209E (США). Но он устарел и был официально отменен 29 ноября 2001 года, уступив место ISO 14644-1 и смежным стандартам. ISO 14644-1 впервые появился в 1999 году, а обновленное издание действует с 2015 года.

Важный момент: ISO 14644-1 не говорит, как строить чистое помещение, как вести операционную деятельность, как выполнять валидацию процессов. Он лишь устанавливает классы чистоты по концентрации твердых частиц в воздухе — но именно эта «методика измерения частиц» становится основой всех последующих решений.

Именно через ISO 14644-1 проектировщик, инженер HVAC, специалист по качеству и оператор чистой зоны «смотрят на один и тот же эталон» — как на виртуальную линейку чистоты.

Основная логика ISO 14644-1: формула — таблица — допуски

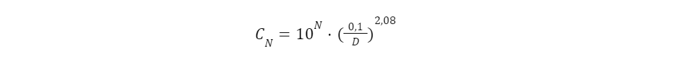
Стандарт классифицирует помещения исключительно по концентрации твердых частиц в воздухе, выраженной количеством частиц ≥ определенного размера на объем 1 м³.

Формула и ее роль

В оригинальном стандарте (и в ознакомительных пояснениях) часто приводят такую формулу:

где

  • CN— максимальная допустимая концентрация частиц размером ≥ Dмкм;
  • N— номер класса ISO (например, 5, 6, 7...);
  • D— рассматриваемый размер частицы в микрометрах;
  • 0,1 — эталонная частица.

Эта формула позволяет рассчитать промежуточные значения для размеров, не приведенных в таблице стандарта.

Но на практике в редакции 2015 года классическая формула используется лишь при необходимости интерполяции, а основная проверка идет через усмотренно построенные стандартные таблицы допусков.

Таблица допусков: ядро классификации

Ниже — выдержка из стандартной таблицы ISO 14644-1:2015, показывающая максимальные концентрации частиц в различных классах. Эта таблица — основа любого расчета чистоты помещения:

-2

(«—» означает, что стандарт не требует измерений для этого размера в данном классе)

Разумеется, в реальности не все размеры частиц измеряются: выбираются «ключевые размеры», например ≥ 0,5 µм и ≥ 5 µм — как наиболее значимые для загрязнения.

Источник изображения: https://static.tildacdn.com/tild3964-3038-4361-b263-356439373461/valida.jpg
Источник изображения: https://static.tildacdn.com/tild3964-3038-4361-b263-356439373461/valida.jpg

От проекта до проверки: как применять ISO 14644-1 шаг за шагом

Рассмотрим поэтапно, как проходит путь от проектной идеи до официальной классификации и подтверждения соответствия требованиям ISO 14644‑1.

Этап 1. Постановка задачи: для чего нужно чистое помещение

Первое, с чего начинают — понять технологию, процессы, требуемые условия:

  • какие размеры частиц критичны в вашем процессе (0,5 µм? 1 µм? 0,3 µм?);
  • насколько строгая стерильность требуется — например, для микроэлектроники, фармацевтики или биотехнологий;
  • будет ли помещение работать «в покое» (без действия оборудования) или «в работе» (с движением персонала), и куда по логике движется поток;
  • какие стандарты помимо ISO применимы (например, GMP Annex 1 для фармы) — и их требования тоже нужно увязать.

Условно можно сказать: «Нам нужна зона, по чистоте не хуже ISO 5 при работе, для розлива стерильных растворов». Это уже дает отправную точку.

Этап 2. Проектные решения: воздух, фильтры, каскады давления

Когда задача ясна, проектировщики HVAC и инженеры начинают «огружать» ISO-классы в пространство:

  • определяют, сколько воздухообменов в час (ACH, air changes) необходимо, чтобы обеспечить требуемую концентрацию частиц;
  • выбирают системы фильтрации: HEPA или ULPA, с учетом эффективности удаления частиц нужного размера;
  • задают каскад давления между зонами: зона с более высокой чистотой (более строгий класс) должна иметь более высокое давление, чтобы воздушный поток шел наружу, не допуская проникновения загрязненного воздуха внутрь;
  • проектируют воздушные барьеры, шлюзы, тамбуры, зоны пластового обдува, чтобы минимизировать пересечение потоков загрязнения;
  • учитывают аэродинамику помещения — чтобы не было застойных зон, турбулентности и «мертвых углов», куда частицы могли бы стекать или задерживаться.

Важный нюанс: в одной комнате нельзя иметь смешанные ISO-классы — границы классов должны быть физически разделены (через барьеры, шлюзы). Это логика самого стандарта: класс определяется для одного объема воздуха в помещении.

Этап 3. Выбор точек отбора проб: где измерять

После строительства — нужно «раскрасить» помещение измерительными точками. Стандарт ISO 14644-1 (в новой версии) изменил подход к выбору количества проб:

  • в более старых версиях применялась формула (например, корень из площади) для числа точек;
  • в версии 2015 года отказались от статистического показателя UCL (95 % доверительный предел), и каждый измерительный пункт рассматривается отдельно: если концентрация в каждой точке ниже допустимой — помещение соответствует классу.
  • ISO предлагает таблицу минимального количества проб и их размещения по объему помещения.

Пример: если помещение имеет площадь 100 м² и высоту 3 м (объем 300 м³), стандарт может предписывать, скажем, 5 точек равномерно распределенных по объему. В каждой точке делается измерение.

Этап 4. Проведение измерений: техника, условия, интерпретация

Когда точки выбраны — наступает момент истины. Но тут важно соблюсти строгие условия:

  1. Счетчики частиц (оптические или лазерные) должны быть калиброваны и соответствовать требованиям ISO (например, ISO 21501-4) для измерения твердых частиц.
  2. Шланг от прибора до точки отбора не должен быть слишком длинным (обычно ≤ 1 м) — иначе частицы могут при оседании теряться или турбулентно отклоняться.
  3. Температура, влажность, объем воздуха, состояние системы вентиляции должны быть штатными (то есть в конфигурации, как когда помещение будет работать).
  4. Делается измерение по заданному времени, фиксируются концентрации частиц ≥ заданного размера (например, ≥ 0,5 µм).

Если в каждой точке концентрация ниже или равна допустимому значению таблицы — помещение считается соответствующим ISO-классу. Если хотя бы в одной точке — превышение — классификация не пройдена.

Этап 5. Документирование и выбор «рабочих» допусков

После измерений создается отчет: карта точек, концентрации, отклонения, графики трендов. На его основе:

  • утверждается класс чистоты помещения (например, ISO 5 при работе);
  • задаются контрольные уровни для мониторинга (напр., если концентрация достигает 80 % от предела — тревога);
  • проводится валидация и, если нужно, корректировки (например, замена фильтров, переконфигурирование потоков).

С этого момента можно эксплуатировать помещение, но важно — периодический мониторинг — чтобы подтвердить, что чистота сохраняется.

Научные наблюдения, примеры, интересные факты

Стандарты ISO 14644-1 — это не только таблицы и формулы, но и конкретные инженерные решения, с которыми сталкиваются в реальных проектах. При их внедрении появляются интересные нюансы, парадоксальные ситуации и практические выводы, которые невозможно было бы предсказать только по тексту стандарта.

Когда формула дает неожиданные значения

Интересно, что формула CN=10N(0,1/D)2,08предсказывает, что при очень малых размерах частиц (например, D = 0,05 µм) концентрация должна резко возрастать — однако на практике счетчики для таких размеров недостаточно надежны, поэтому стандарт не требует измерений ниже 0,1 µм. Это иллюстрирует компромисс между теорией и практикой.

Когда маленькое отклонение вызывает сбой

В одном исследовании для чистых зон (опубликовано в журнале Building and Environment) показано, что колебания перепада давления в ±5 Па от нормативного увеличивают риск проникновения загрязняющих частиц на 18–22 %. Хотя это исследование относится к динамике зданий, аналогичный эффект актуален и для чистых помещений.

Пример: как упрощенные системы «не тянут» ISO-класс

На одном предприятии медтехники в Восточной Европе при сертификации зоны ISO 7 обнаружили, что точки у потолка превышают допустимые концентрации. Проектировщики выяснили, что в углах потолочных панелей — места турбулентных завихрений — воздух не чистится должным образом. Решение: доустановили локальные вытяжки и изменили направление потоков — после переработки все точки попали в требуемые пределы.

Универсальность стандарта

ISO 14644-1 применяется в самых разных отраслях: микроэлектроника, полупроводник, фармацевтика, биотехнологии, пищевое производство, медицина, а также космическая техника. Эта универсальность делает его «языком чистоты» между дисциплинами.

Интересно: стандарт ISO 14644 был разработан на базе опыта ФЕД-стандарта, но адаптирован к метрическим величинам, современным методам измерения и учтению новых процессов (нанотехнологии, высокоточные системы).

Контроль соответствия и связь с другими стандартами (GMP и пр.)

Важно понимать: ISO 14644-1 — лишь часть «экосистемы стандартов чистоты». В реальной фармацевтической среде, например, дополнительно применяют GMP Annex 1, который накладывает свои требования по микробиологическим пределам, режимам «в работе / в покое», процедурам валидации и др.

Например, сопоставление GMP-градусов и ISO-классов выглядит так:

  • GMP Grade A часто соотносится с ISO 5 (в обоих состояниях).
  • GMP Grade B может быть ISO 5 (at rest) и ISO 7 (in operation).
  • GMP Grade C / D — чаще ISO 7 / ISO 8 с оговорками по режимам.

Но строгий GMP требует не только количественных пределов частиц, но и микробиологических тестов (воздушные пробы, пробосборники, поверхности), мониторинга в реальном времени, процедур дегармонизации, потоков персонала и материалов. Для чистой зоны в фарме стандарт ISO служит фундаментом, но не исчерпывает всех требований.

Также важно: ISO 14644-1 обязывает к регулярному мониторингу и подтверждению, что классификация действительно сохраняется со временем.

Советы для практиков и подводные «ловушки»

Чтобы не попасть в ловушку, вот несколько советов из опыта инженеров и аудитов:

  • Измерения делайте на рабочем режиме системы вентиляции — иначе вы получите искусственно чистые условия и ложный результат.
  • Не смешивайте приборы разной чувствительности: они должны быть одного типа или, по крайней мере, иметь пересекающиеся калибровочные характеристики.
  • Обращайте внимание на маршрут шланга прибора: не допускайте длинных или извилистых отводов.
  • При превышении нормы — не сразу пересаживайте фильтры: сначала анализируйте карту загрязнений, чтобы локализовать проблему (углы, вентиляционные отводы, места турбулентности).
  • Не забывайте: человек — главный источник частиц. Планы маршрутов персонала, шлюзы и правильное переодевание — ключевые факторы.
  • Время замера должно быть адекватным (например, 1–10 минут) — не слишком коротким, чтобы поймать случайные всплески, не слишком длинным, чтобы не усложнить анализ.

Такие рекомендации помогают избежать типичных ошибок при классификации и верификации чистых помещений. Даже незначительные отклонения на этапе измерений могут привести к искаженной картине чистоты и, как следствие, к неверным управленческим решениям. Именно поэтому важно не просто соблюдать формальные требования ISO 14644-1, а понимать логику, лежащую в основе каждого измерения.

Что дает строгое следование ISO 14644-1

Когда все шаги пройдены — проект, измерение, верификация, мониторинг — организация получает:

  1. Обоснованный класс чистоты, к которому можно привязать требования технологии.
  2. Метрологически обоснованные допуски, не «на глаз».
  3. Систему контроля — не просто построили «по плану», но доказали, что помещение действительно соответствует.
  4. Унифицированный язык: если придет аудит из иностранной инспекции, они проверят те же таблицы ISO, что и вы.
  5. Гибкость для будущего улучшения: если технологический процесс станет более требовательным, можно планомерно повышать класс и сверяться с той же системой.

Таким образом, стандарты ISO 14644-1 — это не просто сухие числа в стандарте. Это базис технической дисциплины, который связывает инженера, качественника и технолога. Они диктуют, как проектировать, как измерять и как держать «чистоту в узде».

Pirs.Group - Чистые помещения и инженерные системы