Найти в Дзене
Войти
Математика. Продолжение следует прим.
460 подписчиков
Подписаться
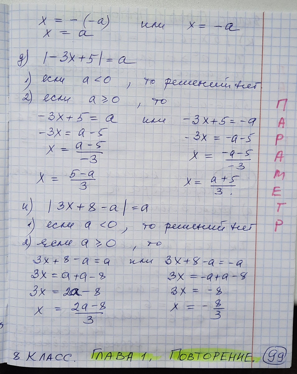
Из сборника задач по математике 8 класс. 27.
27 сентября 2025
27 сен 2025
~1 мин
Задания этого сборника будут интересны и полезны и ученикам 7-ых и 9-ых классов. Страницы 99- 103.
Задания этого сборника будут интересны и полезны и ученикам 7-ых и 9-ых классов. Страницы 99- 103.
...
Читать далее
Задания этого сборника будут интересны и полезны и ученикам 7-ых и 9-ых классов.
Страницы 99- 103.
1