Найти в Дзене

Возрастные нормы звукопроизношения

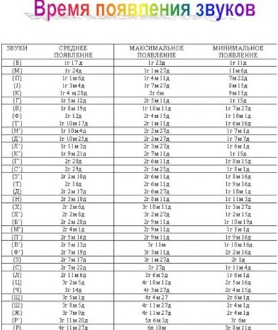
В настоящее время, по данным научных исследований, около 40% детей в России имеют проблемы со звукопроизношением. В современных реалиях родителям необходимо иметь ориентир , знать возрастные нормы речевого развития детей. Каждый ребенок уникален и имеет индивидуальный путь развития, но есть определенные этапы, пройти которые лучше своевременно, с допустимым отклонением от нормы не более двух месяцев. Завершающим периодом формирования звукопроизносительной стороны речи считается возраст 6 лет: всё, что не появилось в речи ребёнка к этому возрасту само, уже вряд ли появится без вмешательства из вне. Итак, познакомимся с возрастными нормами появления звуков в речи ребёнка : 1-2 месяца - этот период считают началом развитие речи ребёнка , в гулении появляются первые звуки: "аа", "оо", "ау"; 2 месяца - гуление усложняется с включением согласных звуков – «гу» или «бу», «хо». 3 месяца - ребёнок начинает издавать звуки, подобные звуку [ф], [с], [в]. 3– 6 месяцев - у ребёнка появляется протя

В настоящее время, по данным научных исследований, около 40% детей в России имеют проблемы со звукопроизношением. В современных реалиях родителям необходимо иметь ориентир , знать возрастные нормы речевого развития детей.

Каждый ребенок уникален и имеет индивидуальный путь развития, но есть определенные этапы, пройти которые лучше своевременно, с допустимым отклонением от нормы не более двух месяцев.
  • Интересный факт:согласно результатам исследований, основы восприятия речи и овладения языком закладываются еще до рождения. Уже на 24-й неделе беременности матери, а иногда и раньше — с 16-й недели, плод начинает реагировать на звуки. Он слышит шумы из внешнего мира, сердцебиение женщины и ее голос. Даже может отличать голос матери от других звуков (источники: Queen's University 2003, Май 13; Psychol Sci. 2003 Май 14(3):220-4; PLoS One. 2015, 8 июня 10(6): e0129118).
Изображение создано ИИ
Изображение создано ИИ

Завершающим периодом формирования звукопроизносительной стороны речи считается возраст 6 лет: всё, что не появилось в речи ребёнка к этому возрасту само, уже вряд ли появится без вмешательства из вне.

Итак, познакомимся с возрастными нормами появления звуков в речи ребёнка :

1-2 месяца - этот период считают началом развитие речи ребёнка , в гулении появляются первые звуки: "аа", "оо", "ау";

2 месяца - гуление усложняется с включением согласных звуков – «гу» или «бу», «хо».

3 месяца - ребёнок начинает издавать звуки, подобные звуку [ф], [с], [в].

3– 6 месяцев - у ребёнка появляется протяжное произнесение звуков: «аль-ле-е», «лы-алы». Ребенок слышит звуки, видит у окружающих артикуляционные движения губ и пытается подражать. Многократное повторение какого-то определенного движения ведет к закреплению двигательного навыка. Это период лепета, ребенок подражания произносит отдельные слоги: ма-ма-ма, ба-ба-ба и т.д. Развивается понимание речи окружающих.

7 – 12 месяцев -ребёнок начинает повторять за взрослым разнообразные сочетания звуков. Из гласных чаще других производится звук [а], из согласных в основном звуки [п], [б], [м], [к], [т] .Однако эти звуки еще недостаточно устойчивы и произносятся лишь в небольших звукосочетаниях.

Малыши начинают различать интонацию, затем слова, обозначающие предметы и действия.

12 месяцев - ребёнок произносит отдельные слова, состоящие из однозначных парных слогов: «мама», «баба». К концу года появляются целые слова типа мама, папа, дядя. Ребенок четко произносит гласные: [а], [о], [у], согласные: [м], [б], [к], [г]. К году в его словаре будет уже 10—15 осознанно произносимых лепетных слов: «мама», «папа», «баба», «дай», «на», «пить», «ко-ко», «би-би», «ав-ав», «пи-пи» и т. п.

1 – 2 года - дети начинают четко произносить такие гласные звуки, как [а], [у], [и], [о], но звуки [ы], [э] заменяют звуком [и]; большинство согласных малыши еще или совсем не произносят, или произносят неверно, заменяя их более простыми в артикуляционном отношении звуками. Ряд твердых согласных заменяют мягкими. В основном это относится к переднеязычным звукам [г], [д], [с], [з] («дяй» вместо дай, «сянки» вместо санки). Отсутствуют также шипящие звуки, звуки [л], [р'], [р]. В речи должны появиться предложения: «Мама, дай суп», «Папа, сиди тут», «Хочу пить сок». В активной речи появляются первые прилагательные : «хороший», «плохой», «большой», «маленький», «красный»( «хаёси», «пахой», «басёй», «маикий», «касий»).

К двум годам ребенок должен освоить и четко произносить гласные звуки:[а], [у], [о], [и] и самые ранние по времени появления согласные: [к], [к’], [г], [г’], [м], [м’], [п], [п’], [б], [б’], [т], [т’], [д], [д’], [н], [н’].

Изображение из открытых источников
Изображение из открытых источников

2 – 3 года

К трем годам ребенок осваивает звуки[в], [в’], [ф], [ф’], [ы], [э], [х], [х’], [с’], [з’], [л’]. До трех лет возрастной нормой считается смягчение согласных звуков («сяпка» вместо «шапка», «дём» вместо «дом» и т.д.). Все остальные звуки малыш в этом возрасте, как правило, не произносит совсем (пропускает) или заменяет на более простые (вместо «мишка» ребенок может произносить «мика», «миска», «миська»).

Легко запоминает и рассказывает небольшие стишки. У детей оказывается сформированными основные грамматические категории. Словарный запас достигает 1000-1200 слов.

3 – 4 года

В период с 3 до 4 лет постепенно исчезает смягчение твердых согласных звуков (в норме в этот период ребенок перестает говорить «дём» и произносит четко – «дом»). Малыш осваивает йотированные звуки (например, в словах «юбка», «юг», «ямка»). Но по-прежнему отмечается нарушение произношения звуков [с], [з], [ц], [ш], [ж], [щ], [ч], [л], [р], [р’]. Эти звуки заменяются более простыми (например, [с] на [т], [т’] или [с’]; [р] на [j] (читается как й), [л’] или опускается и т.п.).

Изображение из открытых источников
Изображение из открытых источников

К четырем годам большинство детей правильно произносит свистящие звуки:[с], [с’], [з], [з’]и хорошо различает их в свободной речи. Активный словарь - 2000 слов. Ребенок начинает пользоваться развернутой фразой, строить сложные предложения. Растет его интерес к звучащему слову, к «устройству» речи. Он начинает создавать новые слова: «копатка» (лопатка). Интересуется происхождением и значением слов («Почему слона зовут слоном?»). У некоторых детей сохраняется общая смягченность речи.

4 – 5 лет

После 4 лет ребенок правильно произносит в речи и дифференцирует (различает) между собой уже все свистящие звуки без исключения ([с], [с’], [з], [з’] и [ц]). В этом возрасте еще возможно нарушение произношения звуков [ш], [ж], [щ], [ч], [л], [р], [р’]. Ребенок в норме легко определяет и называет ударный гласный в начале слов: (например, в словах «утка», «аист», «облако»); может определить и назвать очередность звуков в слияниях: «ау», «уа», «иа».

В ответах появляются первые сложноподчиненные предложения. Активный словарь - 3000 слов.

5 – 6 лет

Шипящие звуки ([ш], [ж], [щ], [ч]) уже

произносятся ребенком верно, а также они различаются им в речи. Уходит смягчение звуков [щ], [ч]. Многие дети осваивают звук [л]. И лишь звуки [р] и [р’] либо заменяются на [л], [л’], [j], либо опускаются (это считается физиологической нормой). Ребенок легко определяет начальный и конечный звуки в словах, может определить количество звуков в трех-пятизвучном слове, может подобрать слово на заданный звук.

К шести годам ребенок правильно произносит и дифференцирует в речи все звуки родного языка. Он может определить место любого звука в слове.

7 – 17 лет

Дети овладевают звуковым анализом, усваивают грамматические правила построения высказывания. Ребенок овладевает письменной речью и постигнет все богатство родного языка в целом.

Родителям важно иметь в виду данную переодизацию и контролировать речь своего ребёнка особенно в раннем детстве , чтобы во время провести коррекцию дома или обратиться за помощь к специалистам .

Не позволяйте Вашим детям молчать! Сами не молчите об их проблемах.

Вовремя сделанный шаг меняет весь путь!

Благодарю ВАС за внимание.

Буду рада комментариям и обсуждениям!