Добавить в корзинуПозвонить
Найти в Дзене
Полина Пархоменко

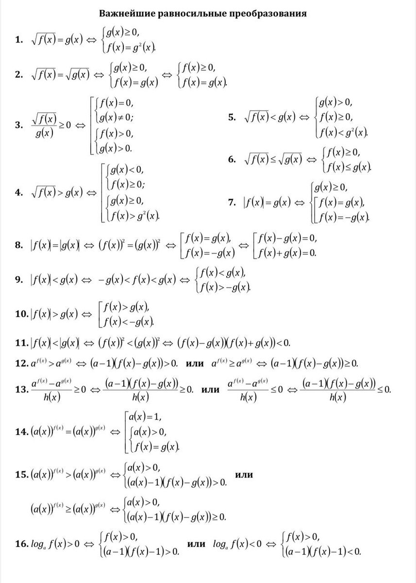
ФОРМУЛЫ РАВНОСИЛЬНЫХ ПЕРЕХОДОВ ДЛЯ ВСЕХ КЛАССОВ

ФОРМУЛЫ РАВНОСИЛЬНЫХ ПЕРЕХОДОВ ДЛЯ ВСЕХ КЛАССОВ Сохраняйте в избранное и отправляйте другу 🐌 📚наши полезности - конспекты по всем темам pdf - бесплатн.курс по геометрии - бот по теории с карточками вк оставить отзыв 🤩подработка у меня ПРО КУРСЫ 🤍формат уроков 🤍 примеры уроков у меня (1) 🤍 пример уроков 2026 (2) 🌀 свежие отзывы 2026 📌 тарифы на годовых курсах ‼️ записаться и задать вопрос моя личка @poleinehelp

ФОРМУЛЫ РАВНОСИЛЬНЫХ ПЕРЕХОДОВ ДЛЯ ВСЕХ КЛАССОВ

Сохраняйте в избранное и отправляйте другу 🐌

📚наши полезности

- конспекты по всем темам pdf

- бесплатн.курс по геометрии

- бот по теории с карточками вк

оставить отзыв

🤩подработка у меня

ПРО КУРСЫ

🤍формат уроков

🤍 примеры уроков у меня (1)

🤍 пример уроков 2026 (2)

🌀 свежие отзывы 2026

📌 тарифы на годовых курсах

‼️ записаться и задать вопрос

моя личка @poleinehelp

-2