Найти в Дзене

С 01 ноября 2025 года кратно повышают утильсбор на автомобили в РФ

С 1 ноября 2025 года ставки утилизационного сбора могут изменятся: они будут зависеть не только от объёма двигателя, но и от мощности. Руководителями автопроизводителей России — «КАМАЗ», «ГАЗ» и «Соллерс», направлено письмо Антону Алиханову, главе Минпромторга, с предложением скорректировать действующую систему расчета утильсбора. Автомобили до 160 л.с. сохранят тариф для физических лиц. А вот для более мощных авто введут коммерческую ставку для физических лиц. Пример предложенных цен на ввозимые НОВЫЕ авто от 180 до 200 л.с. (самые популярные до 2 литров ): И далее все выше и выше. WOMAUTOBOT - рассчитывает стоимость авто из Южной Кореи и Китая под ключ в РФ с учетом всех платежей. Пример предложенных цен на ввозимые ОТ 3 ЛЕТ авто от 180 до 200 л.с. (самые популярные до 2 литров): За первые 8 месяцев 2025 года рынок новых автомобилей в РФ упал на 23%.
При этом доля ввоза авто на физических лиц и оплатой по льготной ставке неуклонно растет.
В случае, если инициативу все таки примут, ве
Оглавление

С 1 ноября 2025 года ставки утилизационного сбора могут изменятся: они будут зависеть не только от объёма двигателя, но и от мощности.

Руководителями автопроизводителей России — «КАМАЗ», «ГАЗ» и «Соллерс», направлено письмо Антону Алиханову, главе Минпромторга, с предложением скорректировать действующую систему расчета утильсбора.

Автомобили до 160 л.с. сохранят тариф для физических лиц. А вот для более мощных авто введут коммерческую ставку для физических лиц.

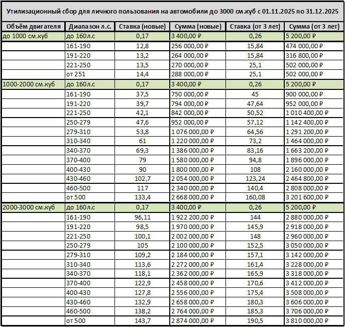
Пример предложенных цен на ввозимые НОВЫЕ авто от 180 до 200 л.с. (самые популярные до 2 литров ):

  • До 160 л.с.: льготный утильсбор 3 400 ₽ (не изменился)
  • 161-190 л.с.: утильсбор 750 000 ₽
  • 250-279 л.с.: утильсбор 952 000 ₽
  • 400-430 л.с.: утильсбор 1 800 000 ₽
  • Мощные или спортивные 3.0 л, 500+ л.с.: утильсбор 2 874 000 ₽

И далее все выше и выше.

WOMAUTOBOT - рассчитывает стоимость авто из Южной Кореи и Китая под ключ в РФ с учетом всех платежей.

Пример предложенных цен на ввозимые ОТ 3 ЛЕТ авто от 180 до 200 л.с. (самые популярные до 2 литров):

  • До 160 л.с.: льготный утильсбор 3 400 ₽ (не изменился)
  • 161-190 л.с.: утильсбор 900 000 ₽
  • 250-279 л.с.: утильсбор 1 142 400 ₽
  • 400-430 л.с.: утильсбор 2 160 000 ₽
  • Мощные или спортивные 3.0 л, 500+ л.с.: утильсбор 3 810 000 ₽
Новый утильсбор в РФ для физлиц на авто с 1 ноября 2025г.
Новый утильсбор в РФ для физлиц на авто с 1 ноября 2025г.

Текущая ситуация на рынке авто

За первые 8 месяцев 2025 года рынок новых автомобилей в РФ упал на 23%.
При этом доля ввоза авто на физических лиц и оплатой по льготной ставке неуклонно растет.
В случае, если инициативу все таки примут, вероятнее всего следующий сценарий:

Как и ранее при подобных повышениях - в начале ажиотажный рост количества ввозимых автомобилей перед введением новых правил до 1 ноября 2025 года.
Далее неизбежный рост цен на авто и последующее падение спроса.

Для всех физ. лиц это будет означать кратное увеличение цены на адекватные качественные автомобили. Сложнее всего будет реакция на Дальнем Востоке, где импортные подержанные, автомобили составляют основу автопарка.

Предлагаемая правительством альтернатива - покупать отечественные авто, цены на которые, к сожалению не соответствуют качеству.

Причиной реформы стала борьба с "неудобным" импортом через физических лиц. При которой ввозят авто на конечного владельца под заказ по адекватной цене. Именно такую услугу я оказываю, подробнее на моем канале WOMAUTO

Доля автомобилей, ввозимых по такой схеме выросла с 1–50% в 2024 году до 50–70% и более в 2025 году, что особенно касается люксовых моделей с турбированными и гибридными двигателями.

-2

Что делать покупателю после 1 ноября 2025 года

Смотрим на мощность авто. Самая важная отметка, — 160 л.с. Для физлиц, ввозящих машину для собственного пользования, ДО 160 л.с. льготная ставка утильсбора остаётся без изменений - 3400 рублей. Все, что выше — готовимся к огромным суммам.

Считаем полную стоимость владения авто под ключ. Цена авто за границей - теперь не основной показатель, к ней необходимо приплюсовать:

  • весомый утильсбор, таможенные пошлины, логистику и все остальные расходы.

Можно воспользоваться удобным ботом, который создан для быстрого расчета полной стоимости авто при заказе под ключ в РФ на текущий момент WOMAUTOBOT (изменения всех утвержденных поправок в реальном времени)

Удачи нам всем и хороших качественных авто по адекватным ценам. #утильсбор #Автоваз #Минпромторг

Контакты для связи:

📱 @noisspb (Максим)

📞 +79957992253 (Максим)