Найти в Дзене
Типичный Снежинск

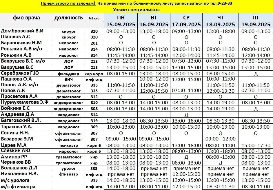
Актуальный график работы врачей с 15 сентября

Актуальный график работы врачей с 15 сентября • Городской поликлиники; • Детской поликлиники; • Стоматологической поликлиники; • Женской консультации. Возможны изменения. Уточняйте расписание на официальных ресурсах или по телефону кол-центра: 9-23-33. 👉 Типичный Снежинск

Актуальный график работы врачей с 15 сентября

• Городской поликлиники;

• Детской поликлиники;

• Стоматологической поликлиники;

• Женской консультации.

Возможны изменения. Уточняйте расписание на официальных ресурсах или по телефону кол-центра: 9-23-33.

👉 Типичный Снежинск

-2
-3
-4
-5
-6
-7