Найти в Дзене

Гимнастика для ума или разговор о древе Жизни

Ум современного человека не склонен к долгому и скучному анализу фактов, ему подавай яркие короткие события, подобные вспышке молнии, чтобы получить мгновенное удовольствие и переключиться на другую такую же короткую тему. Но мозг надо тренировать, иначе он расслабится словно расплывшийся толстяк от гамбургеров, поэтому вам нужна гимнастика для ума. Предлагаем проделать эту гимнастику, прочитав эту статью... Согласно "исторической" справке о сотворении мира, данной в первой главе Бытия (первой книги Библии), на третий день Бог сотворил деревья (растения) и только на шестой день – человека. И произрастил Господь Бог из земли всякое дерево, приятное на вид и хорошее для пищи, и древо жизни посреди рая, и древо познания добра и зла (Быт.2:9). Не задумывались ли вы над смыслом написанного в Библии? Дарвинисты-эволюционисты скажут, что так развивалась природа – вначале появились одноклеточные организмы, потом растения и только потом животные и человек. Всё верно. Тут нет никакого противор

Ум современного человека не склонен к долгому и скучному анализу фактов, ему подавай яркие короткие события, подобные вспышке молнии, чтобы получить мгновенное удовольствие и переключиться на другую такую же короткую тему. Но мозг надо тренировать, иначе он расслабится словно расплывшийся толстяк от гамбургеров, поэтому вам нужна гимнастика для ума. Предлагаем проделать эту гимнастику, прочитав эту статью...

Согласно "исторической" справке о сотворении мира, данной в первой главе Бытия (первой книги Библии), на третий день Бог сотворил деревья (растения) и только на шестой день – человека.

И произрастил Господь Бог из земли всякое дерево, приятное на вид и хорошее для пищи, и древо жизни посреди рая, и древо познания добра и зла (Быт.2:9).

Не задумывались ли вы над смыслом написанного в Библии?

Дарвинисты-эволюционисты скажут, что так развивалась природа – вначале появились одноклеточные организмы, потом растения и только потом животные и человек. Всё верно. Тут нет никакого противоречия.

Но речь идёт не просто о растениях, а о древе Жизни и древе познания Добра и Зла.

- Ну, это сказки! – скажут самоуверенно атеисты. - Человек развился путём естественного отбора животного мира в течение многих миллионов лет и никаких деревьев жизни, а также познания добра и зла нет.

А может быть не надо всё воспринимать буквально и посмотреть на вещи шире? Возможно в этих понятиях заложен и философский смысл, и физическая материальная основа. Похоже, эти два дерева посреди рая указывают, что ни жизнь без познания, ни познание без опыта жизни не прочно..

Решил я как-то купить в супермаркете помидоры. Взял один помидор, понюхал. На запах – прекрасный помидор. Только вот фокус в том, что на пальцах после такого помидора этот «помидорный» запах остаётся – политы обильно зелёные помидоры специальным составом, который придаёт незрелому плоду запах спелого помидора...

Это к тому, что буквально не надо воспринимать всё, что ощущаете, видите или слышите…

Известный русский философ Н.А.Бердяев как-то сказал: «О Боге нельзя мыслить рациональными понятиями, которые взяты из этого мира, на Бога не похожего. Бог не объективное бытие, к которому применимы рациональные понятия, Бог есть Дух. Основное свойство духа есть свобода… Свобода предполагает существование духовного начала, не детерминированного ни природой, ни обществом».

Человек свободен в своём выборе, по какому направлению идти: по пути добра или в сторону зла. Символичность этого выражена наличием в раю "древа познания добра и зла".

А древо Жизни символизирет единство всего живого на планете Земля.

Так, данные о сходстве химического состава клеток подтверждают единство всего органического мира.

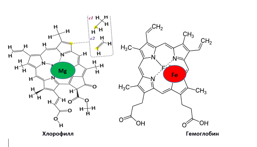
Живые организмы существуют за счёт дыхания кислородом, необходимого для производства энергии в клетках путём процесса окисления питательных веществ. Ключевую роль в обеспечении энергией живых организмов играют хлорофилл – у растений, и гемоглобин – у животных.

В 1915 году доктору Рихарду Вильштеттеру была вручена Нобелевская премия за открытие химического соединения «хлорофилл», представляющего собой сеть атомов углерода, водорода, азота и кислорода, окружающих атом магния. Пятнадцать лет спустя, в 1930-м, Нобелевскую премию получил доктор Ханс Фишер, открывший химическую структуру гемоглобина. Основная функция гемоглобина крови – это транспорт кислорода от лёгких к тканям и органам, а также перенос углекислого газа обратно в лёгкие для выведения из организма.  К своему удивлению доктор обнаружил, что структура гемоглобина практически идентична структуре хлорофилла.

Гемоглобин представляет собой пигмент, окрашивающий клетки крови в красный цвет, точно так же, как хлорофилл делает растения зелёными. Единственное отличие заключается в том, что в центре хелатного комплекса (устойчивого соединения с центральным ионом металла и органическими молекулами вокруг) в хлорофилле растения находится атом магния, а в гемоглобине человека — железо. Поэтому хлорофилл способен оказывать на кровь воздействие, сходное с действием гемоглобина: повышать уровень кислорода, ускорять азотистый обмен.

-2

Каждый биологический организм перерабатывает и использует энергию. Проще говоря, энергия, которая нам нужна для того, чтобы жить в этом мире, приходит из куриного яйца, которое мы съедаем; яйцо получает свою энергию из зерна, съеденного курицей; зерно, растущее в зерновой культуре, извлекает эту энергию непосредственно из солнечного (электромагнитного) излучения путем фотосинтеза.

Живой организм функционирует при наличии в нём энергии электрического тока.

Всё наше тело подобно энергетической машине, в которой биохимические процессы под воздействием электричества преобразовывают поступающие в организм продукты питания в энергию, и вещества для поддержания жизни в организме. Около 20% энергии, потребляемой организмом человека, забирает мозг, хотя размер мозга всего 2% от общего веса тела.

Электрическая энергия должна где-то накапливаться. У растений «энергетическими подстанциями» клеток стали хлоропласты. Животные клетки, имеют в качестве «энергетических подстанций» митохондрии.

Митохондрии (от греческого mítos — нить и chondríon — зёрнышко) – постоянно присутствующий в клетках животных и растений органоид (цитоплазматическая структура), обеспечивающий клеточное дыхание, в результате которого энергия высвобождается или аккумулируется в легко используемой форме. Митохондрии иногда представляются как "клеточные электростанции", потому что они производят большую часть поставки для клетки аденозинового трифосфата (ATP), используемого в качестве источника химической энергии.

Кислород играет ключевую роль в процессе, который генерирует электрический потенциал. Этот процесс, называемый окислительным фосфорилированием, происходит в митохондриях с использованием энергии окисления питательных веществ за счёт кислорода для синтеза АТФ – основного источника энергии для клеток. Кислород является конечным акцептором (принимающим) электронов в дыхательной цепи клеток. Он принимает электроны и связывается протонами, образуя воду. Без кислорода этот процесс и следовательно синтез АТФ был бы невозможен.

Нервная система человека, как и любого другого живого существа, состоящая из миллиардов нейронов не будет функционировать без электричества.

Наши нервы идентичны по устройству электрическим проводам. Миелиновая оболочка изолирует наши нервы друг от друга. Проблемы с нервами начинают возникать, когда истончается эта предохранительная оболочка. Этот «пробой» оболочки подобно повреждению электрического провода ведет к короткому замыканию, выходу из строя, в данном случае – участка нервной системы. Чтобы укрепить эту оболочку, нужно питать себя веществами, которые формируют эту оболочку. Это - Омега-3 полиненасыщенные жирные кислоты. Они являются незаменимыми липидами, участвующими в неврологических функциях, включая передачу сигналов и рост нейронов. 

Омега-3 содержится в жирной морской рыбе (лосось, скумбрия, сельдь, сардины, тунец) и морепродуктах, а также в растительных источниках: семенах льна и чиа, грецких орехах. Небольшое количество есть в шпинате, брокколи и других зеленых листовых овощах. 

Нервы настолько совершенны, что имеют способность к самообновлению.

Миелиновая оболочка не сплошная, она через определенные промежутки прерывается так называемыми перехватами Ранвье. Оказывается, возбуждение возникает только в этих перехватах и перебрасывается, скачет от перехвата к перехвату. Таким образом, сигнал в аксонах проводиться без затухания:

-3

Электричество ответственно за ритмичность сокращения сердца. Есть главный водитель ритма, который называется синусовым узлом, он задаёт ритм сокращения сердца. Потом электрический импульс идёт через проводящую систему предсердия и достигает атриовентрикулярного узла, именно этот узел является пропуском импульса между предсердием и желудочком. После – импульс проводится к желудочку, и желудочек сокращается и выбрасывает кровь в большой или малый круг кровообращения.

Но вот, вспоминая о древе познания Дорба и Зла, всплывает неприглядная картина. Помните помидоры из супермаркета?

В погоне за прибылью сельхозпроизводители делают овощи условно спелыми, забывая или даже не думая о том, что наносят вред другим людям - покупателям этих "бомб замедленного действия".

Помидоры с "сильным" запахом помидоров с большой долей вероятности нитратные. Для того, чтобы они быстрее росли их удобряют селитрой. Это нитраты – соли азотной кислоты. Эти вещества, которые растения корнями впитывают из почвы, нужны для образования хлоропластов (для роста). Вред здоровью наносят не сами нитраты, а их чрезмерное количество. Из нитратов образуются нитриты, которые негативно влияют на гемоглобин, окисляя его и превращая в метгемоглобин, который не способен переносить кислород. Это приводит к кислородному голоданию (гипоксии) тканей и органов, прекращению выработки электричества митохондриями и как следствие - сердечным приступом, проблемами с головным мозгом и даже летальным исходом.

При регулярном употреблении таких овощей и фруктов, вместо ожидаемой пользы, человек получает головную боль, головокружение, сбои в работе сердца, тахикардию, онемение мышц, нарушение слуха и зрения.

Наиболее опасны такие продукты беременным и кормящим женщинам, а также маленьким детям. У малышей токсины могут вызвать самые тяжёлые последствия.

Большое количество нитратов содержат парниковые плоды. Именно они присутствуют на прилавках рынков весной и зимой. Лидером среди овощей является парниковая редиска, у которой содержание вредных веществ достигает 80%.

В больших количествах нитраты накапливаются в корнях растений, шкурке фруктов и кожуре овощей.

При приготовлении салатов из свежих овощей рекомендуется выдерживать овощи в содовом растворе на полчаса (1 ст. ложка соды на 1 литр воды) затем промыть чистой водой. Так можно избавиться от 25-30% нитратов. А если подержать овощи в 10% растворе поваренной соли в течение 10 минут с последующим ополаскиванием проточной водой, то можно избавиться и от микробов.

Постскриптум.

Слишком много информации в одной статье приведено для того, чтобы вы почувствовали, как всё переплетено в нашем мире.

Жизнь человека – это совокупность физических (древо Жизни) и метафизических (древо познания Добра и Зла) процессов, определяющих существование человека и его взаимодействие с миром.

На то и даны нам свыше древо Жизни и древо познания Добра и Зла, чтобы мы могли соизмерять влияние добра и зла на нашу жизнь, делая правильные и разумные выводы для себя, других людей и будущих поколений.

(Факты из книги Валерия Панченко "О сущности человека")

-4