Найти в Дзене
МАТЕМАТИКА с ВАЛЕРИЕЙ

Как готовить учеников к решению логарифмических неравенств на ЕГЭ?

Хочу поделиться подходом, который применяю уже много лет. ✨ Если собрать в одном месте все логарифмические неравенства из прошлых ЕГЭ и онлайн-ресурсов, то станет ясно: способов их решения всего четыре. Это: • метод замены переменной (МЗ), • метод потенцирования (МП), • обобщённый метод интервалов (ОМИ), • метод рационализации (МР). Каждый из них стоит разбирать отдельно: объяснять идею, отрабатывать алгоритм, показывать правильное оформление. Важно помнить: первые два метода обходятся без ОДЗ, а вот ОМИ и МР без него не работают. Если вернуться к примеру из прошлого поста: ученик решил задачу через МР, и на ОДЗ. Но если в систему не включить условие по ОДЗ,то в нынешних реалиях это почти гарантированный «ноль». Правда, многое зависит от человеческого и регионального факторов где то могут просто не заметить включил это условие в систему или нет. Я сама эксперт ЕГЭ и прекрасно знаю, насколько человеческий фактор влияет на проверку. Сейчас общаюсь с коллегами из разных регионов и вижу: п

Хочу поделиться подходом, который применяю уже много лет.

✨ Если собрать в одном месте все логарифмические неравенства из прошлых ЕГЭ и онлайн-ресурсов, то станет ясно: способов их решения всего четыре. Это:

• метод замены переменной (МЗ),

• метод потенцирования (МП),

• обобщённый метод интервалов (ОМИ),

• метод рационализации (МР).

Каждый из них стоит разбирать отдельно: объяснять идею, отрабатывать алгоритм, показывать правильное оформление.

Важно помнить: первые два метода обходятся без ОДЗ, а вот ОМИ и МР без него не работают.

Если вернуться к примеру из прошлого поста: ученик решил задачу через МР, и на ОДЗ. Но если в систему не включить условие по ОДЗ,то в нынешних реалиях это почти гарантированный «ноль». Правда, многое зависит от человеческого и регионального факторов где то могут просто не заметить включил это условие в систему или нет.

Я сама эксперт ЕГЭ и прекрасно знаю, насколько человеческий фактор влияет на проверку. Сейчас общаюсь с коллегами из разных регионов и вижу: подходы бывают очень разные.

Менять систему мы не можем, но можем выстроить для учеников такие стандарты оформления, которые подойдут любому эксперту в любой точке страны и дадут шанс на максимальный балл.

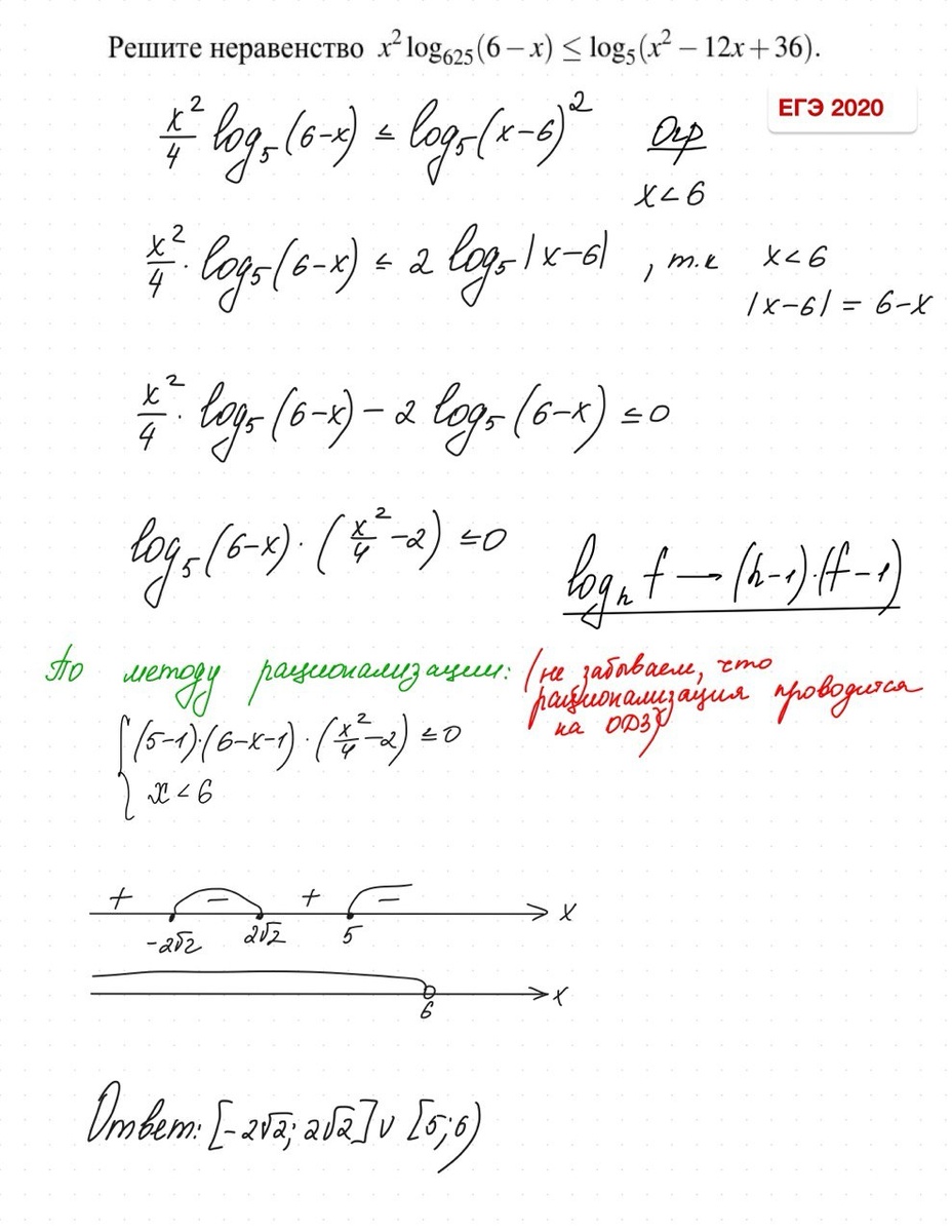
Если говорить о логарифмическом неравенстве с фото(я его обожаю как пример,который четко покажет насколько ваш ученик действительно понимает тему.Этот тип 15 заданий в 2020 году оставил огромное количество ребят с 0 баллов. Многие срезались на вынесении степени без модуля,многие решали ОМИ,но не на ОДЗ.

Требование «вводить функцию» при использовании ОМИ я лично никогда не встречала и не видела снижение баллов за «не введение функции». На ЕГЭ решают и в облегчённом виде методом интервалов,без использования метода рационализации,но если это делать четко на ОДЗ,то всё проходит. Но допускаю, что в каком-то регионе председатель комиссии может придумать новое условие.

👉 Поэтому интересно: у вас бывали ситуации, когда за задание 15 снижали баллы без очевидной причины? Поделитесь опытом в комментариях.

📌 Подведём итог:

1. Для логарифмических неравенств выделяем четыре метода: МЗ, МП, ОМИ, МР.

2. МЗ и МП решаем через равносильные переходы, а ОМИ и МР обязательно начинаем с ОДЗ.

3. Слово «ограничения» использовать можно, аббревиатуру «ОДЗ» тоже писать можно.

4. Для каждого метода ученики должны иметь шаблон оформления, который устроит любого эксперта.

БЕСПЛАТНЫЙ КУРС ПО ПАРАМЕТРАМ + разборы ВСЕХ заданий ЕГЭ2025:
https://vk.com/app5898182_-214545621#s=3357209

В телеграмме https://t.me/valeriya_math каждый день выкладываю задания и решаем вместе с учениками, также там во вкладке описание канала выложены отзывы

Активно веду группу в ВК: https://vk.com/valeriyamath

На Ютубе https://www.youtube.com/c/valeriyamath смотрите прямые эфиры и разборы всех заданий ЕГЭ и ОГЭ

На сайте https://valeriyamath.ru/ можно найти информацию о курсах

Анкета на Профи: https://spb.profi.ru/profile/SamohinaVA/?mobileApp=1

Результаты моих учеников с онлайн курса ЕГЭ 2025:

98 баллов

98 баллов

98 баллов

88 баллов

86 баллов

Результаты 96,95,92 и тд выложены в моем тгк: https://t.me/valeriya_math

Отзывы моих учеников - https://t.me/valeriya_math_feedback

https://vk.com/topic-214545621_49412916,

https://vk.com/topic-214545621_49324326

https://vk.com/topic-214545621_50036062