Найти в Дзене
SAV AI

😱🤯 КИТАЙЦЫ ВЫНЕСЛИ МОЗГ ВСЕМУ МАШИННОМУ ПЕРЕВОДУ

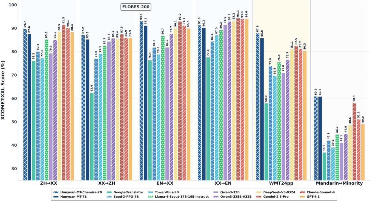
😱🤯 КИТАЙЦЫ ВЫНЕСЛИ МОЗГ ВСЕМУ МАШИННОМУ ПЕРЕВОДУ?! 🇨🇳💥 Tencent выпустила две бомбы под названиями Hunyuan-MT-7B и Hunyuan-MT-Chimera-7B — это настоящие языковые боги! 🤖🔥 Эти нейронки знают 33 языка и с легкостью уделывают ВСЕХ конкурентов на бенчмарках — даже GPT-4.1, Claude Sonnet 4 и DeepSeek V3 остались позади! 😮💥 Представляете, эти мощнейшие модели — В ОТКРЫТОМ ДОСТУПЕ! 🆓🎉 То есть каждый желающий может их использовать, интегрировать в свои проекты и начать делать крутой штуки! 🛠✨ Не нужно платить, не нужно стоять в очереди — просто бери и пользуйся! 🤑👌 Но это еще не всё! 🤯💥 Эти модели прошли через 31 бенчмарк и разнесли 30 из них! 📊💣 Это как если бы вы пришли на экзамен и решили 30 из 31 задачи правильно, оставив всех остальных в шоке! 🤯🎓 ПОЧЕМУ ЭТО НАСТОЯЩИЙ БУМ?! 🤯💥 Потому что это НЕ просто еще один шаг вперёд — это гигантский скачок в области машинного перевода! 🚀🌍 Tencent не просто создала модели, они создали языковых монстров! 🧠👹 Hunyuan-MT-7B и Huny

😱🤯 КИТАЙЦЫ ВЫНЕСЛИ МОЗГ ВСЕМУ МАШИННОМУ ПЕРЕВОДУ?! 🇨🇳💥

Tencent выпустила две бомбы под названиями Hunyuan-MT-7B и Hunyuan-MT-Chimera-7B — это настоящие языковые боги! 🤖🔥

Эти нейронки знают 33 языка и с легкостью уделывают ВСЕХ конкурентов на бенчмарках — даже GPT-4.1, Claude Sonnet 4 и DeepSeek V3 остались позади! 😮💥

Представляете, эти мощнейшие модели — В ОТКРЫТОМ ДОСТУПЕ! 🆓🎉 То есть каждый желающий может их использовать, интегрировать в свои проекты и начать делать крутой штуки! 🛠✨ Не нужно платить, не нужно стоять в очереди — просто бери и пользуйся! 🤑👌

Но это еще не всё! 🤯💥 Эти модели прошли через 31 бенчмарк и разнесли 30 из них! 📊💣 Это как если бы вы пришли на экзамен и решили 30 из 31 задачи правильно, оставив всех остальных в шоке! 🤯🎓

ПОЧЕМУ ЭТО НАСТОЯЩИЙ БУМ?! 🤯💥

Потому что это НЕ просто еще один шаг вперёд — это гигантский скачок в области машинного перевода! 🚀🌍 Tencent не просто создала модели, они создали языковых монстров! 🧠👹 Hunyuan-MT-7B и Hunyuan-MT-Chimera-7B — это как если бы два лучших переводчика в мире объединились в одном роботе и стали говорить на 33 языках одновременно! 🤯🗣

И самое безумное — они БЕСПЛАТНЫ и ОТКРЫТЫ! 🆓🔓 Это значит, что барьер для входа в мир супер-переводов просто уничтожен! 🧱💥 Никаких больше подписок, никаких ограничений — только чистая мощь и доступность! 💪😎

Это круто, потому что мы впервые видим, как китайская технология вырывается вперёд с такой скоростью, что даже гиганты вроде OpenAI и Anthropic начинают оглядываться! 😲🚀 Это как если бы Тойота выпустила машину, которая едет быстрее, чем все Ferrari, и дарит её каждому желающему! 🚗💨

КАК ЭТО МОЖНО ИСПОЛЬЗОВАТЬ В БИЗНЕСЕ?! 💼🚀

Да как угодно! 🤯💡 Представьте себе: ваш бизнес — международный, и вам нужно мгновенно переводить контент, переговоры, документы — всё! 🌐📄 Hunyuan-MT делает это настолько качественно, что можно забыть о дорогостоящих переводчиках! 💸❌

Создаёте стартап? Интегрируйте эти модели и предложите клиентам переводы, которые будут лучше, чем у конкурентов! 🏆💥 Думаете о глобальном расширении? Эти модели — ваш билет в 33 страны без единого языкового барьера! 🎫🌎

Маркетинг? Контент? Поддержка клиентов? Всё это теперь можно автоматизировать на уровне, о котором раньше только мечтали! 🤖📈 И всё это БЕСПЛАТНО и с открытым кодом — экспериментируйте, создавайте, побеждайте! 🧪🔥

Модели юзаем для перевода — здесь.

Код нейронок смотрим — тут.

⏳⏳⏳⏳⏳⏳⏳⏳

Что такое SAV AI?

👩‍🍼 Это наш ИИ-Продавец

Он вам точно продаст!

😖 Это наша ИИ-Партнерка

Агенты, рефералы, дилеры

🫢 Это наш Маркетплейс

200+ готовых ИИ-Продавцов

▶️ Это наш Ютубчик

Все видео и трансляции

💬 Это наша ВКшечка

Тут еще тестовый робот

#перевод