Добавить в корзинуПозвонить
Найти в Дзене

План подготовки к ОГЭ по математике. Часть 2

Это не только вторая часть плана по подготовке к ОГЭ по математике в 2026 году (первая часть тут), но и и план по подготовке к ОГЭ второй части. Вот такой у нас родной язык ) Итак, вторая часть. Всего-то 6 заданий. Но какие! И бОльшая сложность возникает не столько с решением, сколько с оформлением, тк в критериях чётко сказано - "обоснованное получение верного ответа". Обоснованное. То есть просто верного ответа для получения полного балла (2 балла каждое задание) тут не достаточно. Должно быть обоснование и правильно оформленное. Самое интересное, что нет чёткого регламента по критериям оценивания правильности этого оформления. Есть понимание у тех учителей, что ходят на курсы экспертов, у тех у кого много опыта. Но чётких правил не существует. Не буду вас грузить почему так, а то мы завязнем не в теме. Но если по простому - чтобы можно было управлять ситуацией в зависимости от потребностей министерства в данном учебном году. Но вернёмся к нашей задаче. Итак 6 заданий. Я прописываю с

Это не только вторая часть плана по подготовке к ОГЭ по математике в 2026 году (первая часть тут), но и и план по подготовке к ОГЭ второй части. Вот такой у нас родной язык )

Итак, вторая часть. Всего-то 6 заданий. Но какие! И бОльшая сложность возникает не столько с решением, сколько с оформлением, тк в критериях чётко сказано - "обоснованное получение верного ответа". Обоснованное. То есть просто верного ответа для получения полного балла (2 балла каждое задание) тут не достаточно. Должно быть обоснование и правильно оформленное. Самое интересное, что нет чёткого регламента по критериям оценивания правильности этого оформления. Есть понимание у тех учителей, что ходят на курсы экспертов, у тех у кого много опыта. Но чётких правил не существует. Не буду вас грузить почему так, а то мы завязнем не в теме. Но если по простому - чтобы можно было управлять ситуацией в зависимости от потребностей министерства в данном учебном году.

Но вернёмся к нашей задаче. Итак 6 заданий. Я прописываю своим ученикам критерии для оформления самые требовательные. "Мы готовимся для самого вредного эксперта, которому попалась ваша работа". Поэтому очень рекомендую так и рассчитывать. Наверняка вам попадётся кто-то, кто скажет - "А Петя в том году писал вот так и прокатило". И я верю, что прокатило. Но, если "не прокатит" - вам же будет грустно.

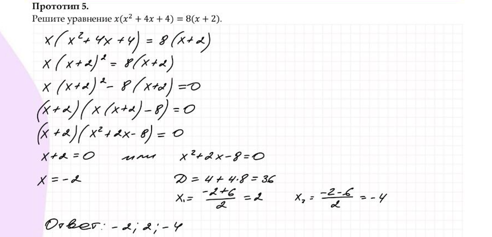
Задание 20. Уравнение, выражение, система, неравенство. 17 прототипов. Можно прорабатывать как только разобрались с заданием 9 и 13 из первой части. Ну и отдельно вспомнили как решать системы.

-2

Задание 21. Текстовые задачи. 20 прототипов. Обычные текстовые задачи. Не умеете решать - берите задачи на движение/работу/смеси за 6 класс и начинайте с них. Можно тренить сразу как вспомнили как решать уравнения (9 задание + дробно-рациональные) ну и проценты. Есть пара непопулярных типа поезда и средней скорости.

Задание 23. Геометрия на вычисление. 21 прототип. В целом несложная геома, где нужно что-то посчитать. Сторону, угол, площадь. В большинстве решается в 2-3 действия. Приступаем, когда вся геома первой части проработана.

Задание 24. Геометрия на доказательство. 15 прототип. Считается, что 24 задание даже легче, чем 23. Тоже 2-3 действия. Тоже приступаем, когда вся геома первой части проработана.

Ну и высший пилотаж - задание 22 и 25. Задание 22 - топчик алгебры, 25 - топчик геометрии.

Задание 22. Графики. 20 прототипов. В большинстве школ их не решают ни в момент обучения, ни даже в рамках подготовки к ОГЭ на допах. Сложно. Сложно не только по решению, но и по оформлению. Много чего надо не упустить. Надо знать про графики всё и больше.

-3

Задание 25. Геометрия повешенной сложности. 16 прототипов. Очень много заданий с доп построениями. Нужно хорошее знание теории. Ну и сидеть и разбирать. Кстати у них, как и у всех почти задач геометрии нет единого решения. Поэтому серфите в поисках того, решения которое вам ближе. Лучше запомнится и уляжется.

-4

____________________________________________________________________

Для связи со мной по любым вопросам почта ipro-23@yandex.ru и другие контакты в шапке канала.

Мои сборники и материалы скоро будут доступны тут.

Подпишитесь, чтобы не пропустить новый материал. И не забывайте - палец вверх вдохновляет автора на написание новых статей. )