Найти в Дзене
INCUBE.AI

⚡️Tencent произвели революцию в сфере нейронного перевода — китайская компания представила Hunyuan-MT! Это открытый исходный код, который

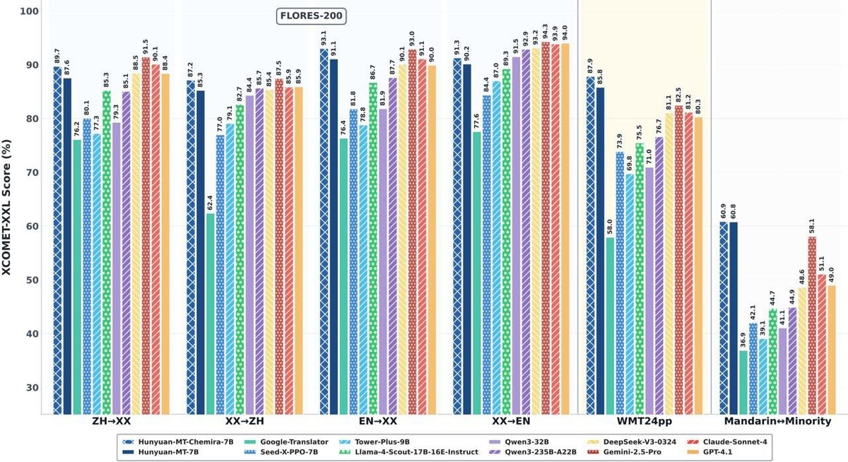
⚡️Tencent произвели революцию в сфере нейронного перевода — китайская компания представила Hunyuan-MT! Это открытый исходный код, который моментально занял лидирующие позиции во всех тестированиях. Основные особенности: 🔅 Доступны две модели — Hunyuan-MT-7B и Hunyuan-MT-Chimera-7B; 🔅 Поддержка 3️⃣3️⃣ языков; 🔅 Chimera-7B — первая в отрасли открытая ансамблевая модель; 🔅 Нейросети заняли первое место в 30 из 31 категорий на самом масштабном мировом конкурсе машинного перевода; 🔅 Hunyuan-MT-7B — лидер среди моделей аналогичного размера. Инструменты находятся в открытом доступе и БЕСПЛАТНЫ — доступны здесь. Посмотреть их репозиторий можно здесь. INCUBE.AI | ПОДПИСАТЬСЯ

⚡️Tencent произвели революцию в сфере нейронного перевода — китайская компания представила Hunyuan-MT! Это открытый исходный код, который моментально занял лидирующие позиции во всех тестированиях.

Основные особенности:

🔅 Доступны две модели — Hunyuan-MT-7B и Hunyuan-MT-Chimera-7B;

🔅 Поддержка 3️⃣3️⃣ языков;

🔅 Chimera-7B — первая в отрасли открытая ансамблевая модель;

🔅 Нейросети заняли первое место в 30 из 31 категорий на самом масштабном мировом конкурсе машинного перевода;

🔅 Hunyuan-MT-7B — лидер среди моделей аналогичного размера.

Инструменты находятся в открытом доступе и БЕСПЛАТНЫ — доступны здесь. Посмотреть их репозиторий можно здесь.

INCUBE.AI | ПОДПИСАТЬСЯ