Найти в Дзене

Только сдали, а уже доплаты за лишние метры

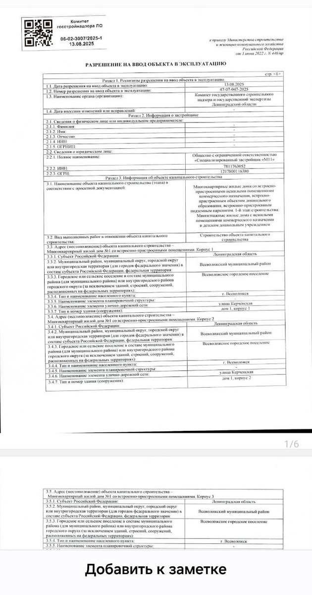
Только сдали, а уже доплаты за лишние метры. Проект А101 Всеволожск получил разрешение на ввод в эксплуатацию 13.08.2025 года. Застройщик требует доплатить за лишние квадратные метры своих клиентов. При этом согласно ДДУ оплатить нужно в течении 10 дней. П. 4.4. ДДУ: Если по результатам обмеров Общая площадь Объекта превысит Проектную общую площадь и такое расхождение будет находиться в пределах от 0,1% до 5 % (включительно), то Участник обязан перечислить на счет Застройщика, открытый в уполномоченном банке, сумму, определенную Сторонами как произведение разницы указанной площади на стоимость одного квадратного метра, обозначенную в п. 4.2 Договора. Оплата осуществляется Участником перечислением денежных средств в рублях на счет Застройщика, открытый в уполномоченном банке, в течение 10 (Десяти) рабочих дней с даты подписания Акта сверки взаиморасчетов, составленного по форме Приложения № 4 к настоящему Договору, либо получения от Застройщика письменного требования или уведомления о

Только сдали, а уже доплаты за лишние метры.

Проект А101 Всеволожск получил разрешение на ввод в эксплуатацию 13.08.2025 года. Застройщик требует доплатить за лишние квадратные метры своих клиентов. При этом согласно ДДУ оплатить нужно в течении 10 дней.

П. 4.4. ДДУ:

Если по результатам обмеров Общая площадь Объекта превысит Проектную общую площадь и такое расхождение будет находиться в пределах от 0,1% до 5 % (включительно), то Участник обязан перечислить на счет Застройщика, открытый в уполномоченном банке, сумму, определенную Сторонами как произведение разницы указанной площади на стоимость одного квадратного метра, обозначенную в п. 4.2 Договора. Оплата осуществляется Участником перечислением денежных средств в рублях на счет Застройщика, открытый в уполномоченном банке, в течение 10 (Десяти) рабочих дней с даты подписания Акта сверки взаиморасчетов, составленного по форме Приложения № 4 к настоящему Договору, либо получения от Застройщика письменного требования или уведомления о завершении строительства Жилого дома, направляемого в адрес Участника в соответствии с п.5.5 Договора.

Приостановить выдачу разрешений на строительство новых жилых комплексов в микрорайоне Южный Всеволожска распорядился губернатор Ленинградской области Александр Дрозденко.

"Это необходимость — жители должны получать полноценную инфраструктуру, а не только квартиры. Временным решением могут стать быстровозводимые пристройки к существующим школам — как это уже сделано на базе школы № 6", — отметил Александр Дрозденко.

И тут у меня вопрос:

Когда выдавали разрешения на застройку, не думали о инфроструктуруре и соцобъектах?

Присоединяйтесь

Прислать новость

Фото: дом.рф

-2