Найти в Дзене
Naked Science

Российские физики «заморозили» холодное тело за счет более горячих соседей

Коллектив российских физиков из МФТИ, Института теоретической и прикладной электродинамики РАН и ВНИИА имени Н.Л. Духова теоретически доказал и смоделировал удивительное явление: временное охлаждение самого холодного объекта в сложной квантовой системе без использования внешнего холодильника, за счет передачи его тепла более горячим объектам. Этот парадоксальный процесс не нарушает второе начало термодинамики, но бросает вызов нашему интуитивному пониманию тепловых потоков. Результаты работы опубликованы в журнале Physical Review A. Одно из самых незыблемых правил нашего мира — второе начало термодинамики. Оно гласит, что тепло самопроизвольно перетекает только в одном направлении: от горячего тела к холодному. Именно поэтому остывает чашка с кофе, а не наоборот, и именно этот закон определяет «стрелу времени». Однако в квантовом мире, на уровне отдельных атомов и электронов, привычные правила начинают работать иначе. Здесь в игру вступают не только температуры, но и другие, чисто кван
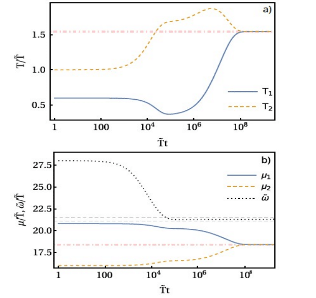
   Динамика a) температур и b) химических потенциалов двух резервуаров / © И.В. Вовчено и др., Physical Review A
Динамика a) температур и b) химических потенциалов двух резервуаров / © И.В. Вовчено и др., Physical Review A

Коллектив российских физиков из МФТИ, Института теоретической и прикладной электродинамики РАН и ВНИИА имени Н.Л. Духова теоретически доказал и смоделировал удивительное явление: временное охлаждение самого холодного объекта в сложной квантовой системе без использования внешнего холодильника, за счет передачи его тепла более горячим объектам. Этот парадоксальный процесс не нарушает второе начало термодинамики, но бросает вызов нашему интуитивному пониманию тепловых потоков.

Результаты работы опубликованы в журнале Physical Review A. Одно из самых незыблемых правил нашего мира — второе начало термодинамики. Оно гласит, что тепло самопроизвольно перетекает только в одном направлении: от горячего тела к холодному. Именно поэтому остывает чашка с кофе, а не наоборот, и именно этот закон определяет «стрелу времени». Однако в квантовом мире, на уровне отдельных атомов и электронов, привычные правила начинают работать иначе. Здесь в игру вступают не только температуры, но и другие, чисто квантовые, параметры, способные привести к совершенно не интуитивным эффектам.

Рассмотрим так называемую открытую квантовую систему — небольшой объект, который взаимодействует с несколькими крупными внешними средами, или «резервуарами». Можно представить себе крошечный процессор, подключенный одновременно к нескольким источникам питания и радиаторам. Каждый из этих резервуаров обладает своей температурой и, что не менее важно, своим химическим потенциалом. Химический потенциал — это своего рода термодинамический аналог электрического напряжения или давления воды: он характеризует стремление частиц (например, электронов) перетекать из одной области в другую.

В терминах этих потоков также можно сформулировать второе начало термодинамики в форме неравенство Клаузиуса. Оно накладывает строгие ограничения на все возможные процессы в системе. Считается, что для простой системы из двух резервуаров — горячего и холодного — это неравенство однозначно запрещает передачу тепла «вверх по течению», от холодного к горячему.

Российские ученые решили заглянуть за кулисы этого фундаментального запрета, а также выяснить, какие возможности скрываются в более сложных системах, состоящих из трех и более резервуаров. Они поставили перед собой вопрос: может ли тепловой поток от самого холодного резервуара к самому горячему все-таки существовать, если другие резервуары будут определенным образом компенсировать этот «неправильный» процесс?

Используя аппарат теории открытых квантовых систем и уравнения Линдблада, описывающие динамику таких систем, физики построили математическую модель, в которой центральная квантовая система была связана с несколькими фермионными резервуарами. Эта модель позволила им получить точные аналитические выражения для потоков энергии и частиц между резервуарами.

В результате моделирования ученые продемонстрировали режим, в котором самый холодный резервуар в системе действительно начинает отдавать тепло и на время становится еще холоднее, а горячий резервуар, в свою очередь, нагревается.

Изначально самый холодный резервуар временно охлаждается почти вдвое, передавая свою энергию более горячим объектам. Затем, по мере того как система перестраивает свои внутренние потоки, он начинает нагреваться и в итоге приходит к общему равновесию вместе со всеми остальными.

Примечательно, что конечная равновесная температура всей системы оказывается выше, чем любая из начальных температур резервуаров, так как в установление равновесия внесли вклад не только температуры, но и химические потенциалы резервуаров.

Этот режим, реализующийся за счет настройки собственных мод открытой квантовой системы, на первый взгляд, нарушает второе начало термодинамики. Однако российские ученые показали, что использование корректного определения потоков тепла в квантовых системах, которое учитывает влияние разности химических потенциалов резервуаров, позволяет этого избежать.

Евгений Андрианов, старший научный сотрудник и доцент кафедры теоретической физики имени Л. Д. Ландау МФТИ, прокомментировал: «Классическая интуиция говорит нам, что тепло всегда течет от горячего к холодному. Но в квантовом мире, когда у вас есть несколько систем с разными температурами и, что ключевое, разными химическими потенциалами, картина усложняется. Наша работа показывает, что система может провернуть хитрый трюк: она как бы «занимает» энергию у потока частиц, управляемого разностью химических потенциалов, чтобы на время запустить «неправильный» поток тепла — от холодного тела к горячему. Это временное нарушение привычного порядка, которое в конечном итоге приводит систему к полному равновесию, но сам путь к этому равновесию оказывается нелинейным и полным сюрпризов».