Найти в Дзене

OpenAI выпустили бесплатные модели gpt-oss — мощь как у o3, работает даже на домашнем ПК!

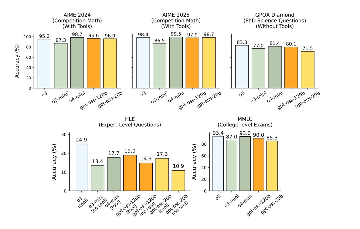
Классная новость для фанатов ИИ! OpenAI впервые за 6 лет (последний был GPT-2 в 2019) выложили в open source две модели: gpt-oss-120b и gpt-oss-20b. Это одни из самых умных моделей компании, почти на уровне o3 и o4-mini, но бесплатные! gpt-oss-120b: 120 миллиардов параметров, нужен мощный GPU (80 ГБ). Идеально для аналитики, кодинга, бизнес-идей. gpt-oss-20b: Компактная, запускается на домашнем ПК (16 ГБ RAM). Обе модели работают как Grok или DeepSeek — генерируют тексты, решают задачи, анализируют. Я нашёл эту новость в интернете (вдохновлено постами в X от @OpenAI и @TechBit) и делюсь с вами. Затестить можно: Сайт: gpt-oss.com GitHub: github.com/openai/gpt-oss В ближайшей статье разберу, как установить эти модели на локальный ПК и какие требования к железу — не пропустите! Попробуйте сами и делитесь в комментариях: что протестили, как работает?

Классная новость для фанатов ИИ! OpenAI впервые за 6 лет (последний был GPT-2 в 2019) выложили в open source две модели: gpt-oss-120b и gpt-oss-20b. Это одни из самых умных моделей компании, почти на уровне o3 и o4-mini, но бесплатные!

-2

gpt-oss-120b: 120 миллиардов параметров, нужен мощный GPU (80 ГБ). Идеально для аналитики, кодинга, бизнес-идей.

gpt-oss-20b: Компактная, запускается на домашнем ПК (16 ГБ RAM).

Обе модели работают как Grok или DeepSeek — генерируют тексты, решают задачи, анализируют. Я нашёл эту новость в интернете (вдохновлено постами в X от @OpenAI и @TechBit) и делюсь с вами.

-3

Затестить можно:

Сайт: gpt-oss.com

GitHub: github.com/openai/gpt-oss

В ближайшей статье разберу, как установить эти модели на локальный ПК и какие требования к железу — не пропустите! Попробуйте сами и делитесь в комментариях: что протестили, как работает?