Добавить в корзинуПозвонить
Найти в Дзене
ГК ЭОН

Гепарин и гепариноподобные препараты и возможность их замены синтетическими аналогами

Гепарин – антикоагулянт, жизненно важный препарат, который применяется для профилактики и лечения тромбозов, инфарктов, тромбоэмболии лёгочной артерии, периферических эмболий, ДВС-синдрома, при операциях на сердце и сосудах, гемодиализе и экстракорпоральном кровообращении. Проблема его производства в первую очередь связана со сложностью и дороговизной сырья – свиной мукозы, для получения которой используются специально выращиваемые животные со строгим контролем условий их содержания, гарантирующие биологическую чистоту получаемого сырья. В этой публикации рассказывается кратко об истории гепарина и его производных и о возможности его замены. История гепарина начинается с 1916 года, когда он был случайно выделен из печени в университете Джонса Хопкинса, США. Но лишь в 1937 году, после доработки метода очистки, гепарин был впервые введён в клиническую практику. Начало его массового производства пришлось на 1940–1944 годы. В 1970–1980 годах получило развитие применение низкомолекулярных г

Гепарин – антикоагулянт, жизненно важный препарат, который применяется для профилактики и лечения тромбозов, инфарктов, тромбоэмболии лёгочной артерии, периферических эмболий, ДВС-синдрома, при операциях на сердце и сосудах, гемодиализе и экстракорпоральном кровообращении. Проблема его производства в первую очередь связана со сложностью и дороговизной сырья – свиной мукозы, для получения которой используются специально выращиваемые животные со строгим контролем условий их содержания, гарантирующие биологическую чистоту получаемого сырья. В этой публикации рассказывается кратко об истории гепарина и его производных и о возможности его замены.

История гепарина начинается с 1916 года, когда он был случайно выделен из печени в университете Джонса Хопкинса, США. Но лишь в 1937 году, после доработки метода очистки, гепарин был впервые введён в клиническую практику. Начало его массового производства пришлось на 1940–1944 годы. В 1970–1980 годах получило развитие применение низкомолекулярных гепаринов (НМГ), и доказана их эффективность и безопасность.

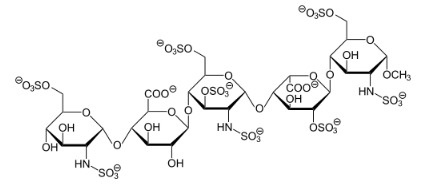
Структурная формула гепарина
Структурная формула гепарина
Гепарин — это линейный полисахарид с самой длинной и неоднородной цепью, состоящий из чередующихся остатков глюкуроновой кислоты и сульфатированного глюкозамина; молекулярная масса колеблется от 5 000 до 30 000 дальтон. Он содержит большое количество сульфатных групп и имеет выраженный отрицательный заряд.
Низкомолекулярные гепарины – продукты переработки гепарина:
Эноксапарин получают из гепарина слизистой оболочки свиньи методом β-элиминации бензилового эфира. В его структуре есть специфическое 1,6-ангидрильное кольцо на конце цепочки с 6-О-сульфогруппами, что увеличивает аффинитет к фактору Ха. Цепи короче (4 500 дальтон) и более гомогенны, чем у нефракционированного гепарина.
Далтепарин и надропарин синтезируются кислотным гидролизом (гидролиз с азотистой кислотой), но в разных условиях реакции. Это придаёт им отличия в распределении длины цепей и степени сульфатирования. Цепи преимущественно короче, молекулярная масса — около 4 300–5 000 дальтон; при этом каждая из этих молекул имеет уникальное соотношение анти-Ха/анти-IIа активности.

Исторически первым, использованным в медицине, гепарином и НМГ на его основе был бычий гепарин, сырьём для получения которого были легкие КРС. Существенный минус бычьего гепарина состоял в более высоком риске гепарин-индуцированной тромбоцитопении (ГИТ), что заставило искать другие гепарины, такие как применяемый сейчас свиной гепарин. Окончательный переход на свиной гепарин произошёл из-за возможности передачи коровьего бешенства (губчатой энцефалопатии КРС, БСЕ) через гепарин в случае использования заражённых прионами тканей. Впрочем, проблема качественного сырья (мукозы свиней), гарантирующего его биологическую чистоту, актуальна и для свиного гепарина, который вырабатывается из тканей тонкого кишечника (мукозы) свиней, содержащихся в течение нескольких поколений на специализированных фермах со строго контролируемыми условиями содержания.

Альтернативными источниками гепарина могут быть овечий гепарин, который по своей структуре схож с бычьим и свиным гепаринами, но обладает меньшими рисками передачи различных заболеваний и приемлем для применения в исламском мире с его запретами на продукты, получаемые из свиней. В последние годы появилось много публикаций о возможности использования гепаринов, получаемых из двустворчатых моллюсков, например, спизулы сахалинской (Spisula sachalinensis) или анадары (Anadara broughtoni). Гепарины моллюсков отличаются по своей структуре от животных гепаринов, и, судя по результатам исследований, имеют ряд преимуществ перед ними в части их потенциального медицинского применения, а также неоспоримое преимущество в части минимизации рисков передачи заболеваний. Однако сложности с культивацией моллюсков и дороговизна сырья тормозят потенциальную возможность внедрения гепаринов из моллюсков в медицинскую практику.

Радикальным решением проблемы сырьевой базы в производстве гепарина и получения высококачественных его препаратов, зачастую превосходящих гепарины, вырабатываемые из биосырья, является его химический синтез. На сегодня уже синтезирован и применяется в клинической практике фондапаринукс – синтетический ингибитор пентасахаридного фактора Ха. Фондапаринукс связывает антитромбин III и ускоряет ингибирование им фактора Ха. Фондапаринукс, в отличие от гепарина, обладает селективностью в отношении фактора Ха, что существенно снижает риск развития гепарин-индуцированной тромбоцитопении (ГИТ).

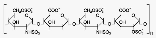
Структурная формула фондапаринукса
Структурная формула фондапаринукса
За исключением О-метильной группы на восстанавливающем конце молекулы, идентичность и последовательность пяти мономерных сахарных единиц, содержащихся в фондапаринуксе, полностью идентичны последовательности из пяти мономерных сахарных единиц, выделяемых после химического или ферментативного расщепления полимерных гликозаминогликанов гепарина и гепаринсульфата. Отличие фондапаринукса от гепарина и гепаринсульфата состоит в первую очередь в надмолекулярных структурах этих соединений. В гепарине и гепарансульфате мономерная последовательность сахарных единиц образует высокоаффинный домен, обеспечивающий связывание антикоагулянтного фактора антитромбина (AT). Связывание гепарина или гепаринсульфата с AT увеличивает антикоагулянтную активность антитромбина в 1000 раз, в то время как фондапаринукс не ингибирует тромбин.

В большинстве случаев фондапаринукс эффективнее и безопаснее гепарина (уменьшает число серьёзных кровотечений на 41% по сравнению с гепарином), например, при остром коронарном синдроме и инфаркте. Однако при необходимости быстрой нейтрализации эффекта или у пациентов с тяжёлой почечной недостаточностью предпочтительнее оказывается гепарин и НМГ. Для того чтобы говорить о полной замене гепаринов, необходимо предложить препарат, действие которого было бы полностью эквивалентно действию гепарина. На наш взгляд, есть два наиболее перспективных направления для решения данной задачи.

Первое направление связано с использованием сшитой смеси ещё одного синтетического вещества – бивалирудина. Бивалирудин – это синтетический аналог природного пептида – гирудина, который содержится в слюне медицинской пиявки Hirudo medicinalis. Добавка даже небольшого количества (менее 0,2%) бивалирудина к фондапаринуксу с последующей их сшивкой позволяет получить препарат, показывающий тот же механизм действия, что и гепарины (включая НМГ). Первое направление выглядит наиболее предпочтительным не только из-за эффективности получаемого соединения, но и потому, что и бивалирудин, и фондапаринукс являются одобренными препаратами и используются в клинической практике.

Структурная формула бивалирудина
Структурная формула бивалирудина
Бивалирудин (торговые марки Ангиомакс и Ангиокс, основной производитель Medicines Company) является специфическим и обратимым прямым ингибитором тромбина. Бивалирудин лишён многих ограничений, наблюдаемых у непрямых ингибиторов тромбина, таких как гепарин. Он не связывается с белками плазмы (кроме тромбина) или с эритроцитами и имеет предсказуемый антитромботический ответ без риска тромбоцитопении или синдрома тромбоза-тромбоцитопении. Бивалирудин не требует связывающего кофактора (антитромбина) и не активирует тромбоциты, что делает бивалирудин в большинстве случаев более предпочтительным, чем гепарин.

Второе направление проще реализуемо на практике (не требует дополнительного синтеза бивалирудина) и связано с линейной сшивкой фондапаринукса с целью нарастить его молекулярную массу до 4,5-6 кDa (молекулярная масса фондапаринукса 1508,3 Да). Полученное таким образом соединение оказалось способным к ингибированию тромбина и по существу является его наиболее полным синтетическим аналогом. При этом его активность, определённая в эксперименте in vivo на гуманизированных мышах, оказалась на 24% ниже соединения, полученного по первому решению, но равного медицинскому препарату эноксапарина.

Таким образом, можно констатировать, что наиболее перспективным является направление замены гепаринов на синтетические аналоги, что может быть особенно актуально для стран (включая Россию), не имеющих своего собственного производства фармацевтической субстанции для производства препаратов гепарина и закупающих их за рубежом.