Найти в Дзене
Ольга Алимова

Я не купила квартиру в ипотеку в 2018 году — и не пожалела

В 2018 году, после увольнения из МЧС, мне нужно было освободить служебное жильё. Дочка была ещё маленькой, но однокомнатной нам уже было мало — хотелось пространства, уюта, стабильности. Казалось, логично: купить «двушку» в ипотеку, как делают все. Стабильно. Надёжно. Свое. На тот момент 3 миллионов у меня не было. Но: накопления, выплаты, немного помощи — и на первоначальный взнос можно было наскрести. Платёж выходил около 30–35 тысяч рублей в месяц, если растянуть на 15 лет. Я уже была на пороге банка… но что-то внутри сопротивлялось. 📌 Интуиция подсказывала: а точно ли стоит привязывать себя к одному месту? Хочется ли на 15 лет в кабалу — в момент, когда мир меняется? Я решила иначе. Я выбрала путь свободы и инвестиций. Для ипотеки обычно требуется от 15–20% от стоимости.
Я бы внесла 600 000₽ (20%).
Это те самые деньги, которые я аккумулировала после увольнения, с учётом выплат и небольшой помощи. При ставке 9% на 15 лет (180 месяцев), ежемесячный платёж составил бы примерно 30
Оглавление

В 2018 году, после увольнения из МЧС, мне нужно было освободить служебное жильё. Дочка была ещё маленькой, но однокомнатной нам уже было мало — хотелось пространства, уюта, стабильности. Казалось, логично: купить «двушку» в ипотеку, как делают все. Стабильно. Надёжно. Свое.

На тот момент 3 миллионов у меня не было. Но: накопления, выплаты, немного помощи — и на первоначальный взнос можно было наскрести. Платёж выходил около 30–35 тысяч рублей в месяц, если растянуть на 15 лет. Я уже была на пороге банка… но что-то внутри сопротивлялось.

📌 Интуиция подсказывала: а точно ли стоит привязывать себя к одному месту? Хочется ли на 15 лет в кабалу — в момент, когда мир меняется?

Я решила иначе. Я выбрала путь свободы и инвестиций.

💡 Сравнение: квартира vs криптоинвестиции (2018–2025)

📌 Сценарий 1: покупка квартиры в ипотеку

🔹 Исходные данные:

  • Год: 2018
  • Тип недвижимости: Двухкомнатная квартира в Казани
  • Средняя цена на тот момент: 3 000 000₽
  • Курс доллара в 2018: 64₽

    → То есть квартира стоила примерно
    46 875$ в валютном эквиваленте.

💵 Первоначальный взнос:

Для ипотеки обычно требуется от 15–20% от стоимости.

Я бы внесла
600 000₽ (20%).

Это те самые деньги, которые я аккумулировала после увольнения, с учётом выплат и небольшой помощи.

💳 Ежемесячный платёж:

При ставке 9% на 15 лет (180 месяцев), ежемесячный платёж составил бы примерно 30 000₽.

Это регулярные, обязательные выплаты — вне зависимости от моего дохода или жизненной ситуации.

🧮 Что получилось бы за первые 7 лет:

С 2018 по 2025 прошло 84 месяца.

За это время я бы:

  • Внесла 600 000₽ (первоначальный взнос)
  • Заплатила 30 000₽ × 84 мес = 2 520 000₽

🔻 Итого: 3 120 000₽ — и это только за 7 лет, а ипотека ещё не закрыта.

🏦 Остаток долга:

На 2025 год осталось бы 96 месяцев до конца срока.

То есть ещё
8 лет ипотечных платежей:

  • 96 мес × 30 000₽ = 2 880 000₽

💡 Общая сумма выплат за 15 лет:

  • 600 000₽ (взнос) + 2 520 000₽ (7 лет) + 2 880 000₽ (оставшийся долг)

    =
    6 000 000₽

Таким образом, квартира за 3 миллиона стоила бы мне в два раза дороже.

🏷 Текущая рыночная стоимость квартиры (2025):

  • В рублях: 8 000 000₽
  • В долларах (курс 80): 100 000$

📈 Рост стоимости:

  • В рублях: с 3 млн до 8 млн → рост +166,7%
  • В долларах: с 46 875$ до 100 000$ → рост +113,3%

Звучит неплохо? Посмотрим глубже.

📉 С учётом инфляции:

Среднегодовая инфляция в России последние годы — 12%.

Используем формулу сложных процентов:

FV = PV × (1 + i)^n
где: PV = 3 000 000₽, i = 0.12 (инфляция 12 %), n = 7 лет

3 000 000₽ × (1 + 0.12)^7 ≈ 6 632 000₽

То есть, чтобы просто сохранить покупательную способность, квартира должна стоить не менее 6,6 млн₽ в 2025.

И при стоимости в 8 млн₽ реальный рост всего на 21%, а не на 167%.

🔁 Месячная доходность:

нужно учитывать чистую прибыль, а не просто рост стоимости квартиры. Ведь квартира хоть и стоит 8 000 000 ₽, но за 7 лет ты:

  • вложила: 3 120 000 ₽ (первоначальный взнос + 84 платежа по 30 000 ₽),
  • и всё ещё должна банку: 2 880 000 ₽ (оставшиеся 96 месяцев по 30 000 ₽),
  • а значит, реальный актив сейчас — это:

    8 000 000 ₽ (стоимость квартиры) – 2 880 000 ₽ (долг банку) = 5 120 000 ₽ — твоя доля.

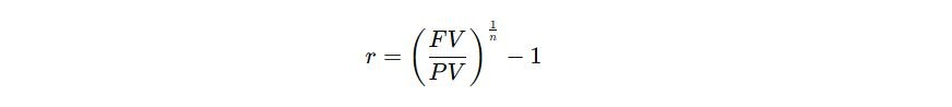
📊 Перерасчёт средней доходности с учётом долга банку

Формула:

-2

Где:

  • FV = 5 120 000 ₽ (реальная стоимость после вычета долга)
  • PV = 3 120 000 ₽ (вложено за 7 лет)
  • n = 84 месяца

Подставим:

-3

✅ Ответ:

👉 Средняя доходность за месяц: ~0.75%

И это — без учёта инфляции. С учётом инфляции доходность становится отрицательной.

📌 Сценарий 2: инвестиции в криптовалюту

✅ Период 1: 2018–2025 (7 лет)

💰 Я не вложила сразу большую сумму, а инвестировала регулярно по 20 000₽ в месяц

Это была пенсия, которую я целиком направляла в инвестиции, продолжая параллельно работать.

Всего за 7 лет:

20 000₽ × 84 мес = 1 680 000₽

📈 Рост криптоактивов за это время:

Рынок вырос в среднем в 30 раз (по портфелю BTC+ETH+SOL с учетом средней входной цены).

1 680 000₽ × 30 = 50 400 000₽

✅ Период 2: 2025–2033 (8 лет)

Я продолжаю инвестировать те же 20 000₽ в месяц:

20 000₽ × 96 мес = 1 920 000₽

Прогнозируемый умеренный рост крипторынка за эти 8 лет — ×15 (по сравнению с текущими ценами, это скромно).

1 920 000₽ × 15 = 28 800 000₽

🧮 Общий итог:

  • Всего вложено: 3 600 000₽
  • Общая сумма на конец 2033: 50 400 000₽ + 28 800 000₽ = 79 200 000₽
  • Прибыль: 79 200 000 – 3 600 000 = 75 600 000₽

🔁 Месячная доходность криптопортфеля:

Формула сложного процента:

FV = PV × (1 + r)^n
→ 79 200 000 = 3 600 000 × (1 + r)^180
→ (1 + r)^180 = 22
→ r ≈ 2,32% в месяц

🔸 Средняя доходность = ~2,32% в месяц

— это
в 12,8 раз выше, чем у квартиры.

✍️ Сравнительная таблица:

-4

🎯 Личный выбор и история

В 2018 году я ушла из МЧС. Пенсия — 20 тыс. руб., маленький ребёнок на руках. Квартира — казалась логичным решением. Но меня не покидало ощущение: «Это якорь. А я хочу крылья».

Я решила не привязывать себя к какому-то городу, не влезать в долги, не зависеть от банка.

Вместо этого:

  • Переехала с семьёй в Сочи
  • Затем — в Хакасию
  • Работала в интернете, развивалась
  • Пенсию — инвестировала

И именно это решение позволило мне сегодня иметь капитал, в десятки раз превышающий то, что могла бы принести квартира.

🧠 Что это доказывает?

🏡 Квартира — не всегда актив. Это расходы, ответственность, ограничение свободы.

🪙 Инвестиции — требуют знаний, но дают
реальную свободу и рост.

И да — волшебной кнопки нет. Зато есть:

✅ Понимание трендов

✅ Гибкость

✅ Умение выстраивать стратегию

🚀 Хочешь понять, что делать тебе?

📍 Приходи на мой курс «Территория денег».

Там мы:

  • Составим твою карту накоплений
  • Поймём твой риск-профиль
  • Найдём инструменты под твои цели
  • Выстроим живую стратегию — без догм и устаревших схем

Откладывать больше нельзя. Твоё время — уже пришло.

Напиши в комментарии «Хочу на курс» и в личные сообщения моей помощнице в телеграм https://t.me/kseniya_assistentka — узнай ближайшую дату старта курса и получи приглашение на диагностику 💫