Добавить в корзинуПозвонить
Найти в Дзене
Naked Science

Масса нейтрино оказалась не связана с темной материей

Фундаментальные для Стандартной модели частицы, нейтрино, не имеют в ее рамках массы. Эксперименты и наблюдения показали, что на самом деле масса у нейтрино есть. В новой работе физики объяснили, что этот эффект нельзя объяснить через скрытый сектор физики и темную материю. Нейтрино — фундаментальные частицы экстремально маленькой массы с полуцелым спином и без заряда. Они слабо взаимодействуют с материей и способны делать это только через гравитацию и слабое ядерное взаимодействие. Ловить их и изучать — технически сложная задача. «В Стандартной модели нейтрино не имеют массы, но эксперименты ясно показали, что у них должна быть крошечная масса. Это видно из явления осцилляций нейтрино. Поскольку массы нейтрино столь малы, их происхождение, скорее всего, связано с физикой за пределами Стандартной модели и может быть не связано с механизмом Хиггса, который определяет массу остальных известных частиц», — рассказал автор статьи Лука Визинелли (Luca Visinelli). Ученые до сих пор не знают,
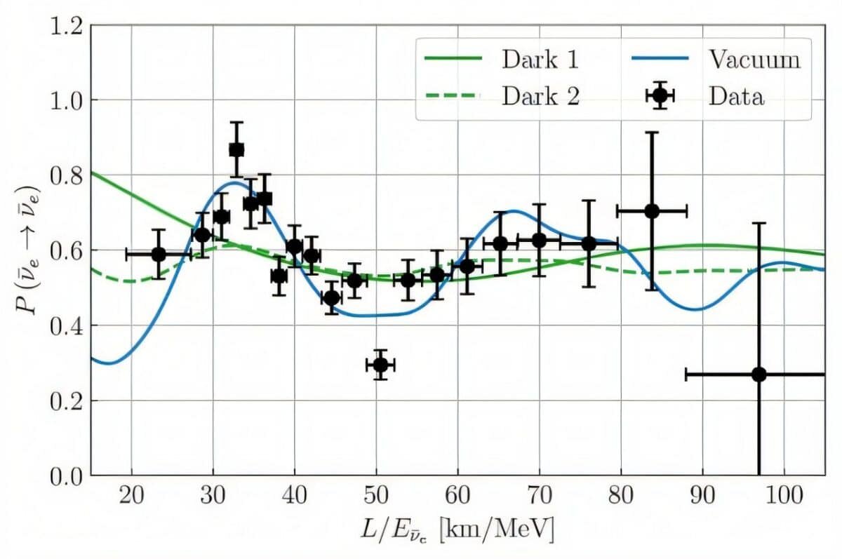
   Сравнение экспериментальных данных (черным) и теоретических расчетов. Зеленым отмечены расчеты для гипотезы, связывающие массу нейтрино со скрытым сектором физики. Голубым показаны расчеты для гипотезы возникновения массы при взаимодействии с вакуумными полями / © Cheek, Visinelli & Zhang. (PRL, 2025).
Сравнение экспериментальных данных (черным) и теоретических расчетов. Зеленым отмечены расчеты для гипотезы, связывающие массу нейтрино со скрытым сектором физики. Голубым показаны расчеты для гипотезы возникновения массы при взаимодействии с вакуумными полями / © Cheek, Visinelli & Zhang. (PRL, 2025).

Фундаментальные для Стандартной модели частицы, нейтрино, не имеют в ее рамках массы. Эксперименты и наблюдения показали, что на самом деле масса у нейтрино есть. В новой работе физики объяснили, что этот эффект нельзя объяснить через скрытый сектор физики и темную материю.

Нейтрино — фундаментальные частицы экстремально маленькой массы с полуцелым спином и без заряда. Они слабо взаимодействуют с материей и способны делать это только через гравитацию и слабое ядерное взаимодействие. Ловить их и изучать — технически сложная задача.

«В Стандартной модели нейтрино не имеют массы, но эксперименты ясно показали, что у них должна быть крошечная масса. Это видно из явления осцилляций нейтрино. Поскольку массы нейтрино столь малы, их происхождение, скорее всего, связано с физикой за пределами Стандартной модели и может быть не связано с механизмом Хиггса, который определяет массу остальных известных частиц», — рассказал автор статьи Лука Визинелли (Luca Visinelli).

Ученые до сих пор не знают, почему у нейтрино вообще есть масса. Одна из существующих гипотез предполагает, что она появляется при взаимодействии со скрытым сектором физики. В нем работают поля и силы, связанные с темной материей и темной энергией.

Международная группа ученых проверила эту гипотезу. Они сравнили результаты моделирования и данные, собранные в эксперименте на Жидкосцинтилляционном антинейтринном детекторе в Камиоке (KamLAND). Ученые выяснили, что на основе доступных сегодня данных нельзя сказать, что масса у нейтрино появляется из-за взаимодействия со скрытым сектором физики. Результаты анализа опубликованы в журнале Physical Review Letters.

«Для проверки мы разработали модель, в которой нейтрино получают массу за счет взаимодействия с новыми частицами скрытого сектора. Мы рассмотрели сценарий, где темная материя состоит из легких бозонных полей. Эти поля ведут себя как когерентные волны, осциллирующие во времени с частотой, определяемой массой бозона», — рассказал Визинелли.

В построении своей модели авторы приняли во внимание пространственную неоднородность поля темной материи — это позволило учесть влияние места расположения источников и детекторов нейтрино, а также движения Земли в Галактике. Корректировки заставили ученых изменить стандартные вероятности нейтринных осцилляций — преобразования частиц в свои античастицы или в нейтрино другого типа. С учетом всех изменений модель не позволила повторить экспериментальные данные с нужной точностью.

Исследовательская группа планирует уточнять и дополнять свою модель связи нейтрино со скрытым сектором по мере появления новых экспериментальных данных. Так как природа масса нейтрино еще не определена, созданная модель может помочь ученым в будущем при тестировании новых теорий. Физики работают над применением результатов этой работы к другим квантовым системам — атомным часам и магнитометрам высокой точности. Они могут оказаться чувствительными к не ставшим причиной массы фундаментальной частицы осцилляциям, вызываемым легкой бозонной темной материей.

Авторы исследования считают, что объяснение существования массы нейтрино должно лежать в области физики элементарных частиц. Новое исследование сузило круг возможных процессов, которые следует учитывать при поиске источника массы нейтрино. Исследователи предположили научному сообществу новую теоретическую рамку и тестовую среду для работы с данными об этой элементарной частице.