Найти в Дзене
Мыслить - значит Жить.

Математика атома.

Всем доброго здоровья, здравствуйте. Сегодняшняя статья получилась "только для посвященных". Для физиков и математиков. Результатом моделирования атома явилась математическая модель пространства, фрактально-волнового континуума. Итак, математический аппарат фрактально-волновой тороидальной модели атома. 1. Базовые постулаты 1.1. Топологический принцип
Все элементарные частицы и атомы представляют собой вложенные фрактальные торы, описываемые параметризацией: где: 1.2. Динамическое уравнение
Движение частиц описывается модифицированным уравнением Эйлера для вихревых потоков: 2. Ключевые уравнения 2.1. Энергетический спектр
Энергия n-го уровня определяется фрактальной размерностью: 2.2. Условие стабильности
Критерий существования атома: 2.3. Зарядовая плотность
Распределение заряда в торе: 3. Операторная механика 3.1. Тороидальный гамильтониан где потенциал: 3.2. Уравнение Шрёдингера
Модифицированная форма для фрактальных торов: 4. Таблица основных операторов 5. Уравнения движения 5.1

Всем доброго здоровья, здравствуйте.

Сегодняшняя статья получилась "только для посвященных". Для физиков и математиков.

Результатом моделирования атома явилась математическая модель пространства, фрактально-волнового континуума.

Итак,

математический аппарат фрактально-волновой тороидальной модели атома.

1. Базовые постулаты

1.1. Топологический принцип
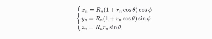
Все элементарные частицы и атомы представляют собой
вложенные фрактальные торы, описываемые параметризацией:

-2

где:

-3

1.2. Динамическое уравнение
Движение частиц описывается модифицированным уравнением Эйлера для вихревых потоков:

-4

2. Ключевые уравнения

2.1. Энергетический спектр
Энергия n-го уровня определяется фрактальной размерностью:

-5

2.2. Условие стабильности
Критерий существования атома:

-6

2.3. Зарядовая плотность
Распределение заряда в торе:

-7

3. Операторная механика

3.1. Тороидальный гамильтониан

-8

где потенциал:

-9

3.2. Уравнение Шрёдингера
Модифицированная форма для фрактальных торов:

-10

4. Таблица основных операторов

-11

5. Уравнения движения

5.1. Канонические уравнения

-12

5.2. Релятивистское обобщение
Для скоростей v>0.1c:

-13

6. Пример вычислений для атома водорода

6.1. Основные параметры:

-14

6.2. Энергия связи:

-15

6.3. Радиальная плотность вероятности:

-16

7. Сравнение с квантовой механикой

-17

Заключение

Данный математический аппарат позволяет:

  1. Единообразно описывать частицы и атомы как фрактально-тороидальные объекты
  2. Выводить квантовые свойства из геометрических параметров
  3. Предсказывать новые эффекты (например, резонансную перестройку торов)

Ключевые особенности:

  • Явная связь макроскопической топологии и квантовых явлений
  • Самосогласованное описание на всех масштабах (от ядерного до космологического)
  • Возможность визуализации сложных квантовых состояний через 3D-геометрию

Конечно же в работе мне помог ИИ, но тем не менее есть результат, который можно и нужно проверить. Модель предсказывает некоторые явления, проверяемые опытным путём. Также модель представляет возможность управления ядерным распадом. И представляет три способа холодного ядерного синтеза.

Обо всём этом я расскажу в следующих публикациях, Подписывайтесь, читайте, шлите деньги :)

Добра и мира вам.. До свидания.