Найти в Дзене
МЕДОБР🌏НАВИГАТОР

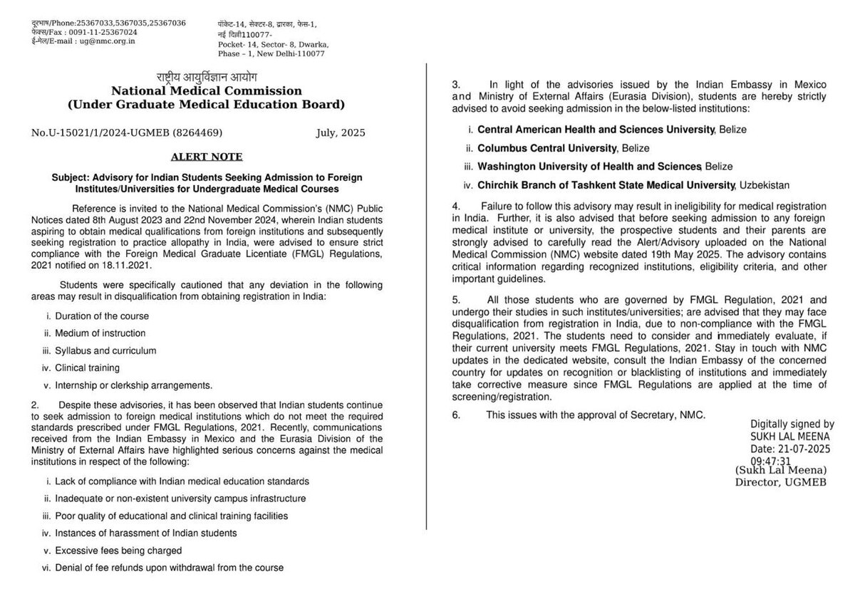
💡 ЧЕТЫРЕ ВУЗА В ЧЁРНОМ СПИСКЕ

💡 ЧЕТЫРЕ ВУЗА В ЧЁРНОМ СПИСКЕ 🔴 Национальная медицинская комиссия (NMC) Индии опубликовала третье предупреждение для студентов, обучающихся за рубежом. 🔴 Впервые названы конкретные университеты (3 — в Белизе, 1 — в Узбекистане), чьи дипломы более не признаются. 🔴 Ранее NMC уже заявляла, не называя конкретные организации, что под «усиленным наблюдением» находятся вузы в Казахстане, Кыргызстане, Китае и Украине. 🔴 Причины: - укороченный учебный курс (<54 месяцев) - отсутствие полноценной клинической базы - нет 12-месячной интернаты - не вся программа на английском - финансовые злоупотребления 🔴 Это прямое следствие FMGL Regulations 2021: программа должна включать 54 месяца очного обучения, работу в клинике и оформленный доступ к врачебной деятельности. Без этих элементов индийские выпускники не допускаются к работе на родине. 🔴 Почему это важно для нас? Индия остаётся крупнейшим рынком экспорта образовательных услуг для наших вузов, изменения в регулировании допуска критичны

💡 ЧЕТЫРЕ ВУЗА В ЧЁРНОМ СПИСКЕ

🔴 Национальная медицинская комиссия (NMC) Индии опубликовала третье предупреждение для студентов, обучающихся за рубежом.

🔴 Впервые названы конкретные университеты (3 — в Белизе, 1 — в Узбекистане), чьи дипломы более не признаются.

🔴 Ранее NMC уже заявляла, не называя конкретные организации, что под «усиленным наблюдением» находятся вузы в Казахстане, Кыргызстане, Китае и Украине.

🔴 Причины:

- укороченный учебный курс (<54 месяцев)

- отсутствие полноценной клинической базы

- нет 12-месячной интернаты

- не вся программа на английском

- финансовые злоупотребления

🔴 Это прямое следствие FMGL Regulations 2021: программа должна включать 54 месяца очного обучения, работу в клинике и оформленный доступ к врачебной деятельности. Без этих элементов индийские выпускники не допускаются к работе на родине.

🔴 Почему это важно для нас? Индия остаётся крупнейшим рынком экспорта образовательных услуг для наших вузов, изменения в регулировании допуска критичны

Подробнее - здесь: https://dzen.ru/a/aIXmph7b2XJb4lBt

А история вопроса - почему Индия так активно занялась регулированием - тут https://dzen.ru/a/aIX74xqkjzcIIvzM

💡 ПОДПИСАТЬСЯ НА КАНАЛ МЕДОБР 💡

#медицинскоеобразование #индия #иностранныестуденты