Добавить в корзинуПозвонить
Найти в Дзене
Развлекалка

Примеры и решение Теоремой Виета

Вот и последняя часть моей статьи. Я покажу примеры уравнений и распишу решение.😉 Возьмём пример от сюда: x²±ax±b=0 x(1)+x(2)=-a x(1)×x(2)=b x²-5x+4=0 1)x(1)+x(2)=-a => x(1)+x(2)=-(-5)=5 2)x(1)×x(2)=b => x(1)×x(2)=4 Думаем так: Нужно найти два числа сумма которых равна 5, а произведение 4. 1+4=5 1×4=4 Ответ:x(1)=4 , x(2)=1 Для первого значения x=x(1) 1²-5×1+4=0 1-5+4=0 Верно Для второго значения x=x(2) 4²-5×4+4=0 16-20+4=0 Верно Вот и вся формула🙃 ответ второго уравнения напишите в комментариях)) Удачи!😘

Вот и последняя часть моей статьи.

Я покажу примеры уравнений и распишу решение.😉

3/3

Возьмём пример от сюда:

  • Вспомним Теорему:

x²±ax±b=0

x(1)+x(2)=-a

x(1)×x(2)=b

  • Подставим пример 1 в формулу.

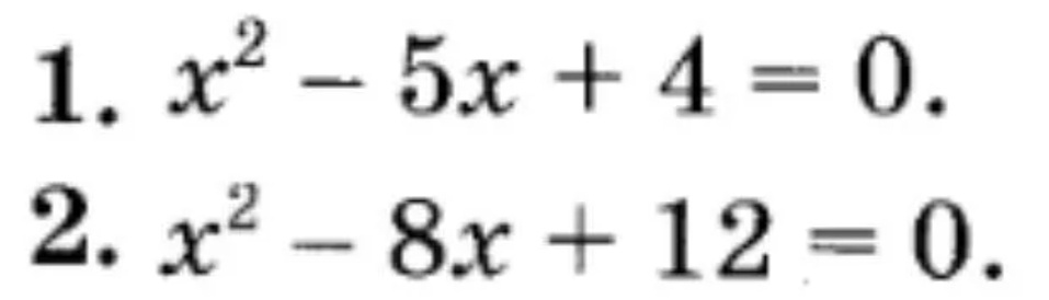
x²-5x+4=0

1)x(1)+x(2)=-a => x(1)+x(2)=-(-5)=5

2)x(1)×x(2)=b => x(1)×x(2)=4

  • Подберём значения для x(1) и x(2)

Думаем так:

Нужно найти два числа сумма которых равна 5, а произведение 4.

1+4=5

1×4=4

Ответ:x(1)=4 , x(2)=1

  • Проверим

Для первого значения x=x(1)

1²-5×1+4=0

1-5+4=0

Верно

Для второго значения x=x(2)

4²-5×4+4=0

16-20+4=0

Верно

Вот и вся формула🙃 ответ второго уравнения напишите в комментариях))

Удачи!😘