Добавить в корзинуПозвонить
Найти в Дзене
Физика - не религия!

Похоже, что в нашей галактике тёмной материи нет!

К такому выводу пришли разработчики системы понятий и определений не основанной на бытовом опыте людей «ТАНСОНА». ТАНСОНА берёт свои истоки в Физике Иного Разума. Для того чтобы очистить формулы от мешающих их прочтению постоянных вместо масс рассматриваются гравитационные радиусы объектов. Выяснилось, что плотность орбитального объекта влияет на интенсивность его взаимодействие с центральным объектом орбитальной системы. Влияние это очень мало, но в масштабах галактики очень заметно. В следующей формуле Z — гравитационный радиус ядра галактики, z — гравитационный радиус звезды имеющей радиус r и находящейся на расстоянии R от центра галактики. По известной теперь астрономам плотности звёзд в галактике, на одном и том же расстоянии R от ядра могут находиться миллионы звёзд, их число на одной орбите обозначено n. Построенный по этой формуле график практически совпал со средней линией графика построенного на основе данных наблюдения. Это заставило разработчиков системы «ТАН
На рисунке гранитный шар на весах. Об этом вконце статьи. (Создано с помощью GigaChat).
На рисунке гранитный шар на весах. Об этом вконце статьи. (Создано с помощью GigaChat).

К такому выводу пришли разработчики системы понятий и определений не основанной на бытовом опыте людей «ТАНСОНА». ТАНСОНА берёт свои истоки в Физике Иного Разума.

Для того чтобы очистить формулы от мешающих их прочтению постоянных вместо масс рассматриваются гравитационные радиусы объектов.

Выяснилось, что плотность орбитального объекта влияет на интенсивность его взаимодействие с центральным объектом орбитальной системы.

Влияние это очень мало, но в масштабах галактики очень заметно.

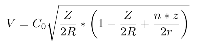
В следующей формуле Z — гравитационный радиус ядра галактики, z — гравитационный радиус звезды имеющей радиус r и находящейся на расстоянии R от центра галактики. По известной теперь астрономам плотности звёзд в галактике, на одном и том же расстоянии R от ядра могут находиться миллионы звёзд, их число на одной орбите обозначено n.

Формула для определения орбитальной скорости звёзд в галактике
Формула для определения орбитальной скорости звёзд в галактике

Построенный по этой формуле график практически совпал со средней линией графика построенного на основе данных наблюдения.

Результат вычислений орбитальных скоростей звёзд в галактике «Млечный путь»
Результат вычислений орбитальных скоростей звёзд в галактике «Млечный путь»

Это заставило разработчиков системы «ТАНСОНА» посмотреть внимательнее на Закон Всемирного Тяготения.

Снова с целью упрощения вида формул вместо масс применялись гравитационные радиусы и известные астрономам стандартные гравитационные параметры.

В результате была получена скорректированная формула для Закона Всемирного Тяготения.

ЗВТ с поправкой от ТАНСОНА
ЗВТ с поправкой от ТАНСОНА

Для анализа этой формулы достаточно рассмотреть часть записанную в скобках. Это коэффициент веса, которого нет в оригинальном законе Ньютона.

Почему его там не оказалось? Разберёмся.

Z земли 0,008 м. Радиус Земли 6000000 м. Средняя приведённая линейная плотность материала земли 1,33E-09 {безразмерна].

Представим себе, что у нас есть кусок скалы с такой плотностью.

Шар радиусом r=1 метр будет иметь объёмную плотность 2,12E-10 кг/м^3. Важный для нас гравитационный радиус этого шара z= 1,33E-09 м.

В нашем случае вес шара (не масса) окажется больше Ньютоновского в 1,0000000013 раза. Отличие в 1*10^-10.

Но вот беда, гравитационная постоянная необходимая в обычной физике для определения веса по закону Ньютона до сих пор известна с точностью до 1*10^-4.

В «ТАНСОНА» гравитационной постоянной нет. Массы определяются в орбитальных экспериментах.

В современной физике массы измеряются без использования закона тяготения через измерение энергии получаемой объектом при строго заданном ускорении в электрических установках. Установка, с помощью которой можно создать новый эталон массы, называется весы или баланс Киббла.

Вес остался по сути только в торговле, и то условно.

Тем не менее проведём мысленный эксперимент.

Как необходимо сжать наш гранитный шар, чтобы заметить влияние этого сжатия на вес? Ведь в формуле есть его радиус. Если мы сожмём шар до радиуса 10 мм он потяжелеет в 1,000013 раза (масса не увеличивается, увеличивается вес).

Конечно, можно взвешивать не гранитные скалы, а металлические шары. Но и их для заметного изменения веса потребуется сжимать в 10000 раз. Конечно, это не реально.

Поэтому определённая нами зависимость зримо работает только на галактических масштабах, где масса звёзд на орбите очень велика.

Подчиняются открытой зависимости не только звёзды в галактиках, но галактики в скоплениях вращающиеся вокруг общего центра.

Шаровое скопление галактик M5
Шаровое скопление галактик M5

Пока нельзя однозначно утверждать, что во Вселенной нет «тёмной материи», но то что для объяснения вращения галактик она не требуется, утверждать можно.

Подробности можно узнать из документа FIR_end.pdf ссылка на который есть на сайте.