Добавить в корзинуПозвонить
Найти в Дзене
Блог Чиковой

Стеарин и парафин в вощине сокращают продолжительность жизни медоносных пчёл (Apis mellifera).

Соты из пчелиного воска считаются важнейшим "самым большим органом пчелиной семьи", поскольку помимо структурных функций они служат для передачи информации - феромонов и звуков. Однако, возникает вопрос, может ли воск стать ещё одним вредным фактором для пчелиной семьи в результате деятельности человека? Чтобы ответить на поставленный вопрос, необходимо собрать больше информации о том, как примеси в воске влияют на здоровье медоносных пчёл на разных этапах их жизни. Дефицит пчелиного воска на рынке стимулирует использование таких добавок. Чаще всего воск "разбавляют" парафином и стеарином. Их добавляют в вощину, потому что они не меняют её свойства при поверхностной оценке. Было доказано, что добавление парафина в вощину ухудшает физико - химические свойства и механическую прочность сот. Также было доказано, что добавление в вощину 10% стеарина снижает выживаемость расплода на 67%. А добавление 30% и 50% стеарина снижает выживаемость расплода до 13% и 8% соответственно: Однако неизвес
фото просто так...
фото просто так...
Соты из пчелиного воска считаются важнейшим "самым большим органом пчелиной семьи", поскольку помимо структурных функций они служат для передачи информации - феромонов и звуков.

Однако, возникает вопрос, может ли воск стать ещё одним вредным фактором для пчелиной семьи в результате деятельности человека?

Чтобы ответить на поставленный вопрос, необходимо собрать больше информации о том, как примеси в воске влияют на здоровье медоносных пчёл на разных этапах их жизни. Дефицит пчелиного воска на рынке стимулирует использование таких добавок.

Чаще всего воск "разбавляют" парафином и стеарином. Их добавляют в вощину, потому что они не меняют её свойства при поверхностной оценке.

Было доказано, что добавление парафина в вощину ухудшает физико - химические свойства и механическую прочность сот. Также было доказано, что добавление в вощину 10% стеарина снижает выживаемость расплода на 67%. А добавление 30% и 50% стеарина снижает выживаемость расплода до 13% и 8% соответственно:

Однако неизвестно, как эти вещества влияют на биохимическую защиту пчёл. В частности, на антиоксидантную систему, потому что воздействие на пчёл вредных веществ приводит к увеличению выработки свободных радикалов и усилению окислительного стресса.

Контакт пчёл с пчелиным воском, содержащим парафин и стеарин, может привести к увеличению выработки активных форм кислорода. Это может не только снизить выживаемость расплода, но и ослабить биохимическую защиту взрослых рабочих пчёл.

***

В организме пчёл есть особые вещества, которые защищают их от вредных молекул. Эти молекулы называются свободными радикалами, и они могут повредить клетки.

Чтобы защитить себя, пчёлы используют три важных фермента:

  • супероксиддисмутаза (СОД) - превращает вредные молекулы в менее опасные,
  • каталаза (КАТ) - ещё больше уменьшает опасность этих молекул,
  • глутатионпероксидаза (ГПО) - помогает восстановить клетки после повреждений.

Кроме того, есть вещество под названием глутатион, которое помогает этим ферментам работать лучше. Все эти вещества вместе ловят свободные радикалы и превращают их в безопасные.

Из статьи:

"Супероксиддисмутаза (СОД) преобразует АФК в перекись водорода и молекулярный кислород,
Каталаза (КАТ) восстанавливает перекись водорода до молекулярного кислорода и воды,
Глутатионпероксидаза (ГПО) восстанавливает глутатион до окисленной формы.
Глутатион - вторая линия защиты, дополняет действие вышеперечисленных ферментов, то есть участвует в процессах детоксикации активных форм кислорода (АФК).
Все эти ферменты улавливают свободные радикалы и преобразуют их в нетоксичные, менее реактивные формы."

Также у пчёл есть особое вещество - вителлогенин (Vg). Оно помогает пчёлам бороться с болезнями и делает их более устойчивыми к вреду от свободных радикалов. Благодаря Vg пчёлы живут дольше:

" Виттелогенин представляет собой цинк-связывающий гликолипопротеин. Он не только положительно влияет на гуморальный и клеточный иммунитет, но и повышает устойчивость рабочих пчёл к окислительному повреждению. Повышая устойчивость пчёл к окислительному стрессу, вителлогенин увеличивает продолжительность их жизни."

Учёные решили узнать, как стеарин и парафин влияют на эти защитные вещества у пчёл. Для этого они изучили пчёл разного возраста: 1, 7 и 14 дней.

Было сформировано 7 групп пчёл по 3 колонии в каждой группе:

  • Контрольная группа без примесей в воске (С),
  • Три группы с добавлением в воск стеарина в разных концентрациях (ST10%, ST30% и ST50%),
  • Три группы с примесями в воске парафина, тоже в разных концентрациях (PA10%, PA30% и PA50%).

О ходе экспериментов можно прочитать в основном исследовании. Мы остановимся на результатах.

***

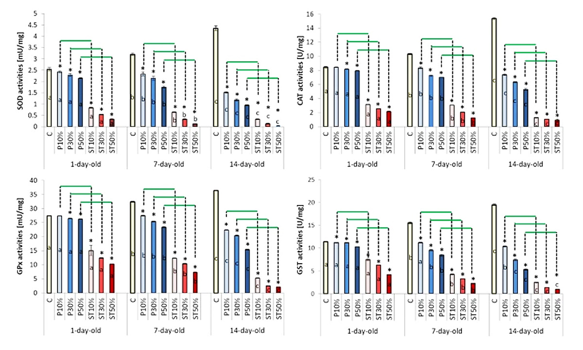
Антиоксидантная способность. Чем больше подделки, тем больше вреда. Стеарин вредит больше, чем парафин.

Добавление в пчелиный воск парафина и стеарина значительно снижает активность антиоксидантной системы во всех показателях гемолимфы рабочих пчёл. Чем выше был уровень фальсификации, тем сильнее было снижение активности ферментов.

Подавление, вызванное стеарином, было более выраженным, чем вызванное парафином. Даже при 10%-ной фальсификации стеарином происходит значительное снижение активности/уровня антиоксидантных показателей.

Рисунок 1: Влияние фальсификации воска на активность антиоксидантных ферментов:

Влияние фальсификации воска на активность антиоксидантных ферментов
Влияние фальсификации воска на активность антиоксидантных ферментов

Интересно, что с возрастом рабочих пчёл эффект подавления во всех группах фальсификации воска усиливался. В то время, как в контрольной группе (чистый воск) значения антиоксидантных показателей увеличивались с возрастом пчёл.

В ранних работах было описано, что с возрастом у рабочих пчёл увеличивается активность антиоксидантной системы. Учёные предполагают, что это связано с биохимической адаптацией рабочих пчёл к возрастным изменениям и задачам, связанным с возрастающим риском воздействия вредных факторов окружающей среды, в частности с усилением окислительного стресса.

Это особенно важно для современных медоносных пчёл, живущих в загрязнённых человеком экосистемах.

В этом исследовании наблюдали возрастное повышение антиоксидантных способностей у рабочих пчёл в группе "Контроля", что можно считать естественным.

В тоже время у рабочих пчёл, которые появились из сот, построенных с использованием добавок стеарина или парафина, наблюдалось сильное подавление антиоксидантной системы. С возрастом это подавление усиливалось.

Кроме того, у пчёл, подвергшихся воздействию парафина/стеарина, все параметры антиоксидантной системы были подавлены (снижены) уже на стадии расплода.

Можно предположить, что первые химические реакции между стеарином/парафином в воске и организмом пчёл происходят уже в яйце, а затем в личинках и куколках до появления рабочих особей (1-дневных пчёл).

Стеарин и парафин могут взаимодействовать с хорионом яйца и нарушать процесс синтеза хитина, участвующего в формировании хориона, который важен для дыхания эмбриона и предотвращения обезвоживания.

Хорион - это одна из зародышевых оболочек, которая обеспечивает питательные вещества и защиту, необходимые для выживания эмбриона.

Плохо сформированный хорион в яйце медоносной пчелы является причиной гибели эмбриона или дефектов его развития до начала процесса вылупления.

Когда личинки вылупляются из яиц, выделяется жидкость, которая ферментативно растворяет хорион. Стеарин и парафин могут вступать в реакцию с ферментами этой жидкости, что приводит к ошибкам, которые могут привести к подавлению антиоксидантной системы у взрослых рабочих пчёл.

Таким образом, контакт предличинок с воском, загрязнённым стеарином/парафином, приводит к дестабилизации антиоксидантного барьера у взрослых рабочих пчёл.

В исследованиях 2017 и 2021 гг было показано, что воздействие вредных ксенобиотиков, а именно пестицидов, снижает общую антиоксидантную способность. Однако, активность некоторых антиоксидантных ферментов оставалась неизменной. Это значит, что активность конкретного фермента не всегда связана с общей антиоксидантной способностью пчелы. Но в этом эксперименте подавлялись ВСЕ антиоксидантные параметры, что говорит о серьёзном воздействии.

Рисунок 2: Влияние фальсификации воска на общую антиоксидантную способность:

Влияние фальсификации воска на общую антиоксидантную способность.
Влияние фальсификации воска на общую антиоксидантную способность.

Учёные предлагают включить стеарин и парафин в список антропогенных факторов, которые могут быть причиной сокращения численности пчелиных семей.

Это связано не только с тем, что эти добавки повышают смертность расплода, но и стем, что они ослабляют биохимическую защиту взрослых пчёл, которые подвергаются воздействию множества вредных ксенобиотиков в современных экосистемах.

Полученные данные также согласуются с предположением Донга (2022) и других исследователей о том, что снижение активности антиоксидантной защиты нарушает регенеративные способности организма пчёл.

Также стоит отметить, что теория старения, основанная на свободных радикалах, применима и к медоносным пчёлам. Старение и устойчивость к окислительному стрессу у общественных насекомых взаимосвязаны.

Таким образом, стеарин и парафин могут сокращать продолжительность жизни рабочих пчёл. Поскольку стеарин оказался более вредным, чем парафин, его следует рассматривать в первую очередь.

***

Вителлогенин.

Вителлогенин (Vg) функционально связан с гормонами и гемоцитами. Он поддерживает первую и вторую линии антиоксидантной защиты, защищая клетки от окислительного повреждения и повышая устойчивость клеток к окислительному стрессу. Vg влияет на продолжительность жизни матки и рабочих пчёл.

Кроме того, Vg может помочь пчёлам сохранить высокую эффективность антиоксидантной защиты, когда её первая линия подавлена, например, в случае с пестицидами.

В этом исследовании впервые обнаружили, что выращивание расплода на восковой основе, загрязнённой парафином и особенно стеарином, значительно снижает уровень Vg у рабочих пчёл, появившихся из такого расплода.

Рисунок 3: Влияние фальсификации воска на уровни вителлогенина:

Влияние фальсификации воска на уровни вителлогенина
Влияние фальсификации воска на уровни вителлогенина

Таким образом, загрязнённый парафином и, особенно стеарином, воск, может ослаблять первую и вторую линии антиоксидантной защиты.

Естественное снижение уровня Vg, по мере старения рабочих пчёл, является нормальным явлением. Однако, неестественно низкий уровень Vg в гемолимфе рабочих пчёл всех возрастов может привести к нарушению устойчивости к окислительному стрессу и нарушению физиологического развития и иммунных реакций, таких как повышение восприимчивости к паразитам и патогенам.

Снижение уровня Vg приводит к "повышению уровня гормона жадности" и усилению реакции пчёл на сахарозу. В результате истощения запасов Vg, что особенно заметно в группах с фальсификацией, пчёлы начинают быстрее совершать фуражировочные полёты.

Таким образом, это является ещё одним подтверждением того, что фальсификация воска стеарином/парафином приводит к нарушению метаболизма в организме пчёл и к сокращению продолжительности их жизни.

***

Глобальное метилирование ДНК (уровень ДНК-метилтрансферазы).

Уровень ДНК-мет может изменяться в зависимости от условий окружающей среды. Это "эпигенетический инструмент", который насекомые используют для адаптации к внешним условиям.

Например, уровень ДНК-мет сильно повышается под воздействием пестицида имидаклоприда. Также, у медоносных пчёл уровень ДНК-мет увеличивается с возрастом.

В этом исследовании уровень ДНК-мет, как и ожидалось, медленно повышался с возрастом у рабочих пчёл из контрольной группы. Добавление парафина в вощину также повысило уровень ДНК-мет. Однако, при добавлении стеарина произошло сильное повышение уровня ДНК-мет. Это говорит о выраженной эпигенетической реакции на стеарин.

Рисунок 4: Влияние фальсификации воска на общий уровень метилирования ДНК:

Влияние фальсификации воска на общий уровень метилирования ДНК
Влияние фальсификации воска на общий уровень метилирования ДНК

Важно отметить, что пчёлы подвергались воздействию стеарина на стадии расплода и не контактировали со стеарином после выхода из ячейки.

Подобная реакция у рабочих пчёл наблюдалась, когда в рацион личинок добавляли "эпигенетические переключатели" - фенилбутират или фенилацетилглутаминат.

Таким образом, стеарин можно рассматривать как "эпигенетический переключатель", который ускоряет старение рабочих пчёл.

Это третья важная информация, которая подтверждает вредное воздействие фальсификации воска, в частности стеарином, на здоровье медоносных пчёл и на продолжительность их жизни.

"У рабочих пчёл apis mellifera, появившихся из личинок, выращенных на сотах, загрязнённых парафином или стеарином, неожиданно сильно подавилась антиоксидантная система", - Анета Страчека, Польша, 2025 год.

Берегите своих пчёл!

Живите долго и будьте здоровы! Мира Вам!!!

P.S. Спасибо, что дочитали до конца! Буду рада видеть вас в числе моих подписчиков! В этом блоге вы найдёте много полезной информации!

P.S. Информация на моём канале носит только ознакомительный характер.

Поддержите автора лайком и комментарием! Вам не сложно, а мне приятно!

Поддержать автора канала: карта Сбербанк 2202 2004 3838 2838

Органическое пчеловодство | Блог Чиковой | Дзен
Блог Чиковой | Дзен