Найти в Дзене
МАТЕМАТИКА с ВАЛЕРИЕЙ

Пересдача математика ЕГЭ 04.07.2025

По ощущениям в целом вариант легче того, что был на основной волне. Новых идей во второй части существенно меньше, да и те уже видели на основе или на резерве. А какие-то задания просто встречались в предыдущие пару лет — экономика и параметр так точно. Если в основной волне был сложный параметр, в резерве сложная планиметрия, то на пересдаче задачи похожего уровня не увидел.

Первая часть — вполне норм, есть сплавы в 10 и фломастеры в 5 из интересного, остальные задания довольно обычные

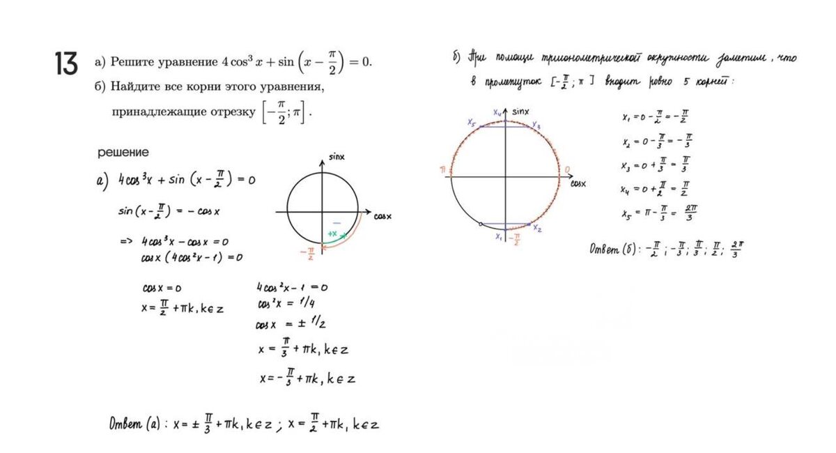
13 задание — обычная тригонометрия с вынесением общем множителя, правда корней в пункте б целых 5, но это мелочи

15 задание — интересное показательное, нужно было поработать с основанием 1,5 и заметить, что 3,375 это 1,5 в кубе после этого можно и рационализацию, и ОМИ, и тождества, что больше нравится

16 задание — обычный кредит с равными платежами или вклад с пополнением, схема решения одинаковая по таблице, только во вкладе нужно не запутаться куда добавлять внесенные деньги

18 задание — несложное аналитическое уравнение с логарифмами, в котором сначала учитываем ограничения, потом переносим все в левую часть и выносим общий множитель и решаем через произведение с учетом условия и ограничения, можно при желании решить и графикой

19 задание — хотя по условию задача и новая по логике решения очень похожа на ту, что была в резерве, те же средние арифметическим и также при решении в лоб перебираем все варианты для доказательства

Геометрия — планиметрия по ощущениям вообще несложная на подобие и отношения, а стереометрия обычная на сечение параллелепипеда в виде трапеции и нахождение его площади, если решаете стерео, то этот набор вполне решаемый

Сибирь говорят сильно похожа на ДВ. Ждём, конечно, остальные регионы, но как будто вариант самый решаемый из трех: основа, резерв, пересдача🙈

-2
-3
-4
-5
-6
-7
-8
-9

🔥🔥ПРОБНАЯ НЕДЕЛЯ НА ЛЕТНИХ КУРСАХ

Хочешь учиться на бюджете в лучших Вузах страны?
записывайся ко мне на занятия😎

ЕГЭ-2025. МЕТОДИЧЕСКИЙ РАЗБОР. ЧАСТЬ 1. ДЖЕНТЛЬМЕНСКИЙ НАБОР И ГЕОМЕТРИЯ

ЕГЭ-2025. МЕТОДИЧЕСКИЙ РАЗБОР. ЧАСТЬ 2. ПАРАМЕТРЫ

ЕГЭ-2025. МЕТОДИЧЕСКИЙ РАЗБОР. ЧАСТЬ 3. Теория чисел

МОЕ ЧЕСТНОЕ МНЕНИЕ О РЕЗУЛЬТАТАХ, КАК ЭКСПЕРТА ЕГЭ

Мое отношение к ЕГЭ этого года

Как проверяли основную волну ЕГЭ математика 2025

Зачем нужен ЕГЭ?

Результаты моих учеников с онлайн курса ЕГЭ 2025:

98 баллов

98 баллов

98 баллов

88 баллов

86 баллов

Результаты 96,95,92 и тд выложены в моем тгк: https://t.me/valeriya_math

🔥🔥Курсы для учителей ОГЭ и ЕГЭ: https://forms.gle/8p6bbAvegNXg474M6

🔥ЗАПИСЬ НА ЛЕТНИЙ КУРС ЕГЭ2025: https://forms.gle/BN5hzq3JeZQYGUJUA

🔥ЗАПИСЬ НА ЛЕТНИЙ КУРС ОГЭ2025: https://forms.gle/AzHy6yd5AXnChdeS7

🔥ЗАПИСЬ НА ГОДОВОЙ КУРС ЕГЭ2026: https://forms.gle/mmYEE2uHvX5A4wkj9

🔥ЗАПИСЬ НА ГОДОВОЙ КУРС ОГЭ2026: https://forms.gle/P7mqrdifGSzZFaBZ7

Отзывы моих учеников - https://t.me/valeriya_math_feedback

https://vk.com/topic-214545621_49412916,

https://vk.com/topic-214545621_49324326

https://vk.com/topic-214545621_50036062

⬇️ Не забудь подписаться на меня тут ⬇️

⚡️группа ВК https://vk.com/valeriyamath

⚡️TELEGRAM Разбор заданий ЕГЭ и ОГЭ: https://t.me/valeriya_math

⚡️INSTAGRAM: https://www.instagram.com/valeriya_math/

⚡️YOUTUBE: https://www.youtube.com/c/valeriyamath

⚡️Сайт: https://valeriyamath.ru/ege

⚡️ПРОФИ.РУ: https://spb.profi.ru/profile/SamohinaVA/?mobileApp=1