Добавить в корзинуПозвонить
Найти в Дзене
УЧЕБА

Как умножить многочлен на многочлен

Для умножения многочлена на многочлен существует очень легкое правило. Чтобы умножить два многочлена между собой, надо каждый член первого многочлена умножить на каждый член второго многочлена. После это полученные произведения сложить и привести подобные. На рисунке представлена общая схема перемножения. Решим пример представленный на рисунке. Теперь приводим подобные слагаемые и получаем многочлен в стандартном виде. Если необходимо перемножить многочлены, у которых только одна переменная то можно умножение производить с помощью таблицы. Рассмотрим пример:Требуется перемножить два полинома Для начала выпишем их коэффициенты. При чем в порядке убывания степеней неизвестных переменных, то есть от большей степени к меньшей. Если переменной в какой-то степени нет, то коэффициент взять равным нулю. Таким образом, для первого полинома коэффициенты следующие 1; 0; 1; -2; 0; 3 Для второго полинома коэффициенты 2; -3; 4; 0; -1. Теперь записываем одни коэффициенты горизонтально, а другие верти
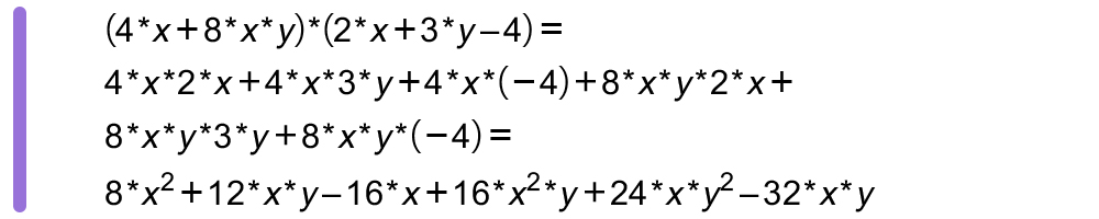
  1. Как умножить многочлен на многочлен

Для умножения многочлена на многочлен существует очень легкое правило. Чтобы умножить два многочлена между собой, надо каждый член первого многочлена умножить на каждый член второго многочлена. После это полученные произведения сложить и привести подобные.

На рисунке представлена общая схема перемножения.

Решим пример представленный на рисунке.

-2

Теперь приводим подобные слагаемые и получаем многочлен в стандартном виде.

-3

Если необходимо перемножить многочлены, у которых только одна переменная то можно умножение производить с помощью таблицы.

Рассмотрим пример:Требуется перемножить два полинома

-4

Для начала выпишем их коэффициенты. При чем в порядке убывания степеней неизвестных переменных, то есть от большей степени к меньшей. Если переменной в какой-то степени нет, то коэффициент взять равным нулю.

Таким образом, для первого полинома коэффициенты следующие 1; 0; 1; -2; 0; 3

Для второго полинома коэффициенты 2; -3; 4; 0; -1.

Теперь записываем одни коэффициенты горизонтально, а другие вертикально. Теперь каждый из элемент из вертикального столбца умножаем на каждый элемент из горизонтального. И при каждом новом элементе сдвигаем на одну позицию вправо. Далее полученные ряды суммируем по столбцам. Как при умножении чисел в столбик, но только результат полученный после сложения не переносятся в следующий разряд. Посмотрите на рисунке какая таблица должна получится.

-5

Теперь остается записать ответ

-6