Найти в Дзене

Фактор травления.

В производстве печатных плат одним из ключевых технологических параметров является фактор травления. Этот показатель напрямую влияет на точность формирования медных дорожек, минимальное сечение проводника и качество итогового изделия. Понимание сути и значения фактора травления необходимо как инженерам-технологам, так и разработчикам электронных устройств. 1. Фактор травления — это специальный показатель, который характеризует соотношение между вертикальным и боковым удалением меди в процессе химического травления печатных плат. В идеале травление должно удалять медь строго по толщине. Данная толщина меди формируется за счёт толщины самой медной фольги и толщины гальванической меди. На практике всегда присутствует и боковое подтравливание, при котором раствор проникает под защитный слой, уменьшая ширину дорожек и увеличивая зазоры между ними.
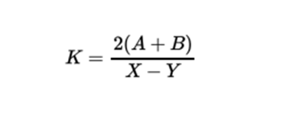
где A — толщина медной фольги, B — толщина гальванической меди, X — ширина проводника до травления, Y — ширина проводника после травления Чем б

В производстве печатных плат одним из ключевых технологических параметров является фактор травления. Этот показатель напрямую влияет на точность формирования медных дорожек, минимальное сечение проводника и качество итогового изделия. Понимание сути и значения фактора травления необходимо как инженерам-технологам, так и разработчикам электронных устройств.

1. Фактор травления — это специальный показатель, который характеризует соотношение между вертикальным и боковым удалением меди в процессе химического травления печатных плат. В идеале травление должно удалять медь строго по толщине. Данная толщина меди формируется за счёт толщины самой медной фольги и толщины гальванической меди. На практике всегда присутствует и боковое подтравливание, при котором раствор проникает под защитный слой, уменьшая ширину дорожек и увеличивая зазоры между ними.

-2


где

A — толщина медной фольги,

B — толщина гальванической меди,

X — ширина проводника до травления,

Y — ширина проводника после травления

Чем больше фактор травления, тем меньше боковой подтрав, и тем более тонкие и точные проводники можно реализовать на печатной плате.

2. Нужно понять, какую функцию выполняет фактор травления и какое воздействие он оказывает на разработку и производство печатных плат:

2.1 Контроль точности рисунка: Он позволяет производителям и разработчикам учитывать неизбежные технологические потери ширины дорожек, чтобы итоговый рисунок схемы соответствовал проекту.

2.2 Минимизация дефектов: Высокий фактор травления способствует уменьшению бокового подтравливания, что снижает вероятность коротких замыканий и обрывов между дорожками.

2.3 Оптимизация технологического процесса: Понимание и расчет этого показателя позволяет корректировать режимы травления, состав раствора и конструкцию оборудования для достижения наилучших результатов.

2.4 Увеличение плотности монтажа: Чем выше фактор травления, тем меньшие зазоры и более тонкие проводники можно получить, что особенно важно для современных миниатюрных электронных устройств

-3

3. На величину самого фактора травления оказывают влияние несколько групп факторов:

3.1 Тип и состав травильного раствора: Кислотные и щелочные растворы на основе хлорной меди являются стандартом отрасли. Щелочные растворы с аммиаком и хлоридом меди позволяют достичь более высоких факторов травления (до 4–5) и лучше подходят для тонких проводников.

3.2 Метод травления: Струйный (распылительный) метод обеспечивает максимальный контроль над процессом и минимальное боковое подтравливание за счет направленного воздействия струй раствора на поверхность печатной платы. Погружное травление менее контролируемое, поскольку процесс идет одновременно вглубь и в стороны, увеличивая подтрав.

3.3 Конструкция оборудования: Использование мощных насосов, оптимизация расстояния от форсунки до поверхности печатной платы, правильный угол распыления и динамическое управление составом раствора позволяют увеличить вертикальную составляющую процесса и снизить подтрав.

3.4 Режимы процесса: Температура, величина давления раствора, концентрация меди и pH — все эти параметры должны поддерживаться на оптимальном уровне.

3.5 Качество и толщина резиста: Более тонкий и равномерно нанесенный резист обеспечивает лучшую защиту дорожек от бокового воздействия травителя

Фактор травления напрямую влияет на технологические возможности производства печатных плат, определяя минимально достижимую ширину дорожек и зазоров. Его высокие значения позволяют создавать компактные и высокопроизводительные печатные платы, востребованные в современной электронике.