Добавить в корзинуПозвонить
Найти в Дзене

✅ Действия с отрицательными числами: просто о сложном

Работа с отрицательными числами часто вызывает трудности у учеников. Но если разобраться в основных правилах, всё становится логичным и вполне понятным. Давайте разберёмся вместе! 📌 Нужно запомнить два простых правила: 📍 Примеры: 📍 Примеры: 🔧 Правило одно для двух операций: 📍 Примеры: 🧠 Закрепим на комплексном примере (взят из ВПР 6 класс) 🔹 При сложении и вычитании — смотри на знаки и сравнивай модули
🔹 При умножении и делении — работай с модулями, а знак зависит от сочетания
🔹 Не забывай делать всё по порядку действий Хочешь больше таких простых объяснений с практикой? Подпишись на канал и следи за новыми уроками.
А если твоему ребёнку нужна помощь в понимании тем — я всегда на связи 💬 📩 Запишитесь на занятия — и математика перестанет быть «страшной».
Оглавление

Работа с отрицательными числами часто вызывает трудности у учеников. Но если разобраться в основных правилах, всё становится логичным и вполне понятным. Давайте разберёмся вместе!

➕ Сложение и вычитание

📌 Нужно запомнить два простых правила:

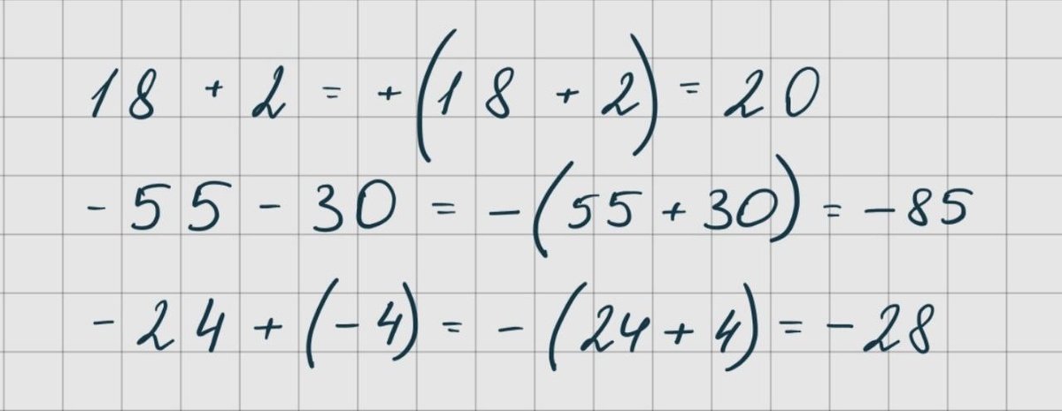
🔸 1. Если знаки одинаковые — складываем модули и сохраняем знак:

📍 Примеры:

Складываем модули и сохраняем знак
Складываем модули и сохраняем знак

🔸 2. Если знаки разные — вычитаем модули и ставим знак числа с большим модулем:

📍 Примеры:

Вычитаем модули и ставим знак числа с большим модулем
Вычитаем модули и ставим знак числа с большим модулем

✖️➗ Умножение и деление

🔧 Правило одно для двух операций:

  1. Умножаем или делим модули чисел.
  2. Смотрим на знаки:
    Если знаки
    одинаковые → результат положительный.
    Если
    разные → результат отрицательный.
Знаки при умножении и при делении
Знаки при умножении и при делении

📍 Примеры:

Умножаем или делим модули чисел, ставим правильный знак в ответ
Умножаем или делим модули чисел, ставим правильный знак в ответ

🧠 Закрепим на комплексном примере (взят из ВПР 6 класс)

Пример из ВПР 6 класс
Пример из ВПР 6 класс

📌 ИТОГ

🔹 При сложении и вычитании — смотри на знаки и сравнивай модули

🔹 При умножении и делении —
работай с модулями, а знак зависит от сочетания

🔹 Не забывай делать всё по
порядку действий

Хочешь больше таких простых объяснений с практикой? Подпишись на канал и следи за новыми уроками.

А если твоему ребёнку нужна помощь в понимании тем — я всегда
на связи 💬

📩 Запишитесь на занятия — и математика перестанет быть «страшной».