Добавить в корзинуПозвонить
Найти в Дзене
УЧЕБА

Вынесение общего множителя за скобки

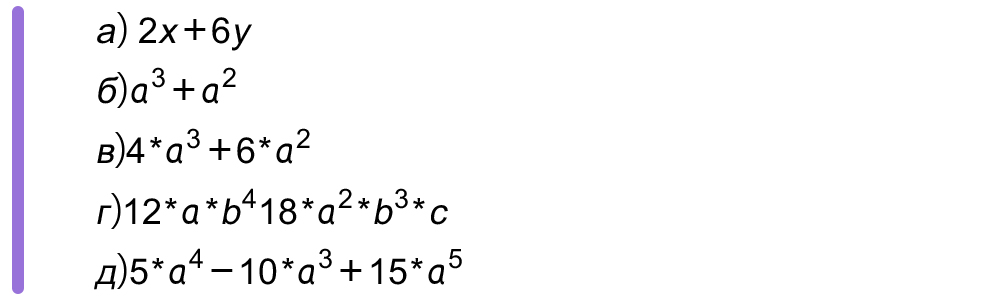
Рассмотрим несколько примеров вынесения общего множителя за скобки, чтобы стало понятнее, как это делать. Пример 1. Задача разложить многочлен на множители Решение Здесь мы вынесем за скобки общий множитель, в данном случае 2 Если у нас в многочлене присутствует 1 и более переменных, то её мы можем вынести за скобки (переменную нужно брать с наименьшей степенью в дроби) в) В следующем примере мы применили навыки двух предыдущих примеров таких как вынесение общего числа за скобки и общей переменной и в результате получим: г) Обычно для целых коэфициэнтов находят не общий делитель, а самый большой делитель, например для 12 и 18 это будет число 6, а для 8 и 4 это будет 4, Также тут присутствует переменная b и для неё наименьший показатель равен 3, А для переменной a, самая маленькая степень будет равна 1. Для переменной с, наименьшего показателя не имеется, действительно в первом члене переменной c вообще нету. В этом примере мы выработали алгоритм: На основе нескольких примеров выше, выр

Рассмотрим несколько примеров вынесения общего множителя за скобки, чтобы стало понятнее, как это делать.

Пример 1.

Задача разложить многочлен на множители

Решение

-2

Здесь мы вынесем за скобки общий множитель, в данном случае 2

-3

Если у нас в многочлене присутствует 1 и более переменных, то её мы можем вынести за скобки (переменную нужно брать с наименьшей степенью в дроби)

в) В следующем примере мы применили навыки двух предыдущих примеров таких как вынесение общего числа за скобки и общей переменной и в результате получим:

-4

г) Обычно для целых коэфициэнтов находят не общий делитель, а самый большой делитель, например для 12 и 18 это будет число 6, а для 8 и 4 это будет 4,

Также тут присутствует переменная b и для неё наименьший показатель равен 3,

А для переменной a, самая маленькая степень будет равна 1.

Для переменной с, наименьшего показателя не имеется, действительно в первом члене переменной c вообще нету.

-5
-6

В этом примере мы выработали алгоритм:

На основе нескольких примеров выше, выработаем несколько правил:

1. Вначале мы должны найти наибольший числовой множитель в дроби, чтобы как можно больше упростить выражение.

2. Дальше мы должны найти переменные которые входят в каждый член многочлена, позже из которых мы вынесем за скобки переменную с наименьшим показателем.

3.Наконец, мы объединим первые два правила и получим, что нужно выносить за скобки произведение наибольшего числового множителя на переменную(ые) с наименьшим показателем.

Замечание. Иногда мы должны выносить за скобки дробный множитель, это делается из за того что иногда нам приходится работать с дробями т.к. других чисел просто нету. Например:

-7

Пример 2.

Разложить на множители:

-8

Решение будет состоять из выработанного нами алгоритма:

1) Найдем наибольший числовой множитель в нашем примере это -1, -2 и 5.

2) Переменная X находится во всех многочленах и мы можем вынести её с наименьшим показателем , все степени X4, 3, 2; самая маленькая степень это x^2, её мы и вынесем.

3) Переменная y не входит во все члены многочлена, поэтому её мы не имеем права выносить

В результате мы можем вынести x ^2. Но в нашем примере удобнее будет вынести x^2. Тогда получим:

-9