Добавить в корзинуПозвонить
Найти в Дзене
Василий

Колебания в дифференциальных уравнениях. Часть 1

В механике важнейшей задачей является нахождение функции x=x(t). Зная эту зависимость, можно найти скорость и ускорение. В серии статей рассмотрим уравнения колебаний и их решения в различных условиях. Важным инструментом являются диффуры(сокращение от словосочетания дифференциальные уравнения). В ходе всей статьи будут попадаться линейные однородные диф.уравнения(ЛОДУ), чья однородность проявляется в том, что в правой части стоит ноль, а не функция(это уже ЛНДУ). ЛОДУ будут второго порядка, которые может решить любой восьмиклассник, знающий формулу дискриминанта. Дополнительной сложностью являются лишь комлпексные числа, но самое главное, что sqrt(-1)=i(будем обозначать так корень и дальше). i-минимая единица, а комлексным числом называют число вида a±bi, где a и b действительные числа(то есть все числа, которые мы используем). Особенностью диффур является тот факт, что конечный ответ получается без комплексных чисел с помощью формулы Эйлера. Это позволяет связать физику с комплексно

В механике важнейшей задачей является нахождение функции x=x(t). Зная эту зависимость, можно найти скорость и ускорение. В серии статей рассмотрим уравнения колебаний и их решения в различных условиях.

Важным инструментом являются диффуры(сокращение от словосочетания дифференциальные уравнения). В ходе всей статьи будут попадаться линейные однородные диф.уравнения(ЛОДУ), чья однородность проявляется в том, что в правой части стоит ноль, а не функция(это уже ЛНДУ). ЛОДУ будут второго порядка, которые может решить любой восьмиклассник, знающий формулу дискриминанта. Дополнительной сложностью являются лишь комлпексные числа, но самое главное, что sqrt(-1)=i(будем обозначать так корень и дальше). i-минимая единица, а комлексным числом называют число вида a±bi, где a и b действительные числа(то есть все числа, которые мы используем). Особенностью диффур является тот факт, что конечный ответ получается без комплексных чисел с помощью формулы Эйлера. Это позволяет связать физику с комплексной плоскостью. Вывода общего решения для ЛОДУ здесь не будет. Приведу лишь две "формулы"(общее решение).

Если дискриминант больше нуля, то

y=C1exp(k1x)+C2exp(k2x).

Запись exp обозначает, что функция в скобках стоит в степени числа e. Аналогично было бы e^(k1x).

Если дискриминант меньше нуля, то

y=exp(ax) × (C1cosbx+C2sinbx).

!вторая скобка не входит в степень экспоненты.

C1 и C2 некоторые константы, которые получаются при интегрировании.

Числа a и b это действительные части комплексного числа a±bi.

Задача 1. Гармонические колебания.

Известно, что гармонические колебания это те колебания, которые изменяются по закону x(t)=Acos(w0t+ф0) либо x(t)=Asin(w0t+ф0), где A - амплитуда колебаний, w0- циклическая частота вне трения, а ф0- начальный угол.

Найдем ускорение, чтоб составить дифференциальное уравнение.

x'(t)=u(t)[производная координаты по времени есть скорость].

x''(t)=a(t)[вторая производная есть ускорение].

x''(t)=((Acos(w0t+ф0))')'=(-Aw0sin(w0t+ф0))'=-Aw0²cos(w0t+ф0)

Можете перепроверить, пользуясь таблицей и правилой дифференцирования сложной функции.

Из полученного равенства видно, что вторую производную можно переписать как

x"(t)=-w0²x, потому что x из условия равен Acos(w0t+ф0).

Теперь просто перенесем с правой части в левую полученное равенство.

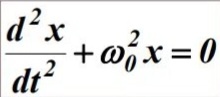
x"+w0²x=0.

Это и есть линейное однородное дифференциальное уравнение второго порядка. В зависимости от начальных условий можно получить различные частные решения. Найдем частное решение, если известно, что x(0)=x0, а x'(0)=u.

Сделаем условную замену, что x"->k², а x->1.

k²+w0²=0 - характеристическое уравнение.

k²=-w0², где w0>0. Значит берем корень из отрицательного числа.

k=±sqrt(-w0²)=±sqrtw0²×sqrt(-1)=±w0×i.

Сравнивая полную запись комлексного числа a±bi с ответом для характеристического уравнения, получаем, что a=0, b=w0.

Отсюда наш ответ x=exp(0×x)(C1cosw0t+C2sinw0t)=C1cosw0t+C2sinw0t.

t в аргументах косинуса и синуса следует из зависимости x=x(t). В начале статьи приведено решение для y=y(x).

Рассмотрим частные решения.

1) x(0)=x0.

C1cosw0×0+C2sinw0×0=x0

C1×1+C2×0=x0

x0=C1

2) x'(0)=u

Надо продифференцировать наш ответ.

x'(t)=C2w0cosw0t-C1w0sinw0t

Подставим x'(0)=C2w0×1-C1w0×0=C2w0=u

Отсюда C2=u/w0.

3) Итоговое частное решение выглядит как

x(t)=x0cosw0t+(u/w0)sinw0t.

Дальше рассмотрим сложные гармонические колебания и затухающиеся.