Найти в Дзене

Раcчет однотактного обратноходового преобразователя напряжения. Часть 2.

Следует напомнить принцип работы ООП. При отпирании транзистора VT1 напряжение питания прикладывается к первичной обмотке W1 трансформатора Т1. Полярность напряжения на вторичной обмотке такова, что диод D1 закрыт. На этом интервале происходит накопление энергии в трансформаторе. При запирании транзистора VT1 изменяется полярность напряжения на обмотках трансформатора, открывается диод D1 и энергия, накопленная трансформатором, передаётся в нагрузку. Регулировочная характеристика идеального преобразователя нелинейна и имеет вид: Uout=ℽ*Uin/(k*(1-ℽ)). Основное достоинство ООП - наличие одного моточного элемента (трансформатора Т1), что является в ряде случаев определяющим при выборе малогабаритного, маломощного и экономичного источника электропитания. Амплитудное значение ЭДС первичной обмотки трансформатора: V1=Uin(min)-Usd(нас)-∆U1=233,3-1,8-5,9=225,6 В, где Usd(нас)=1,8 В - напряжение насыщения сток-исток (коллектор-эммитер) транзисторного ключа, ∆U1=0,02*Uin(nom)=0,02*295,6=5,9 В
Оглавление

Следует напомнить принцип работы ООП. При отпирании транзистора VT1 напряжение питания прикладывается к первичной обмотке W1 трансформатора Т1. Полярность напряжения на вторичной обмотке такова, что диод D1 закрыт. На этом интервале происходит накопление энергии в трансформаторе. При запирании транзистора VT1 изменяется полярность напряжения на обмотках трансформатора, открывается диод D1 и энергия, накопленная трансформатором, передаётся в нагрузку. Регулировочная характеристика идеального преобразователя нелинейна и имеет вид: Uout=ℽ*Uin/(k*(1-ℽ)). Основное достоинство ООП - наличие одного моточного элемента (трансформатора Т1), что является в ряде случаев определяющим при выборе малогабаритного, маломощного и экономичного источника электропитания.

Предварительные расчеты

Амплитудное значение ЭДС первичной обмотки трансформатора:

V1=Uin(min)-Usd(нас)-∆U1=233,3-1,8-5,9=225,6 В,

где Usd(нас)=1,8 В - напряжение насыщения сток-исток (коллектор-эммитер) транзисторного ключа, ∆U1=0,02*Uin(nom)=0,02*295,6=5,9 В - падение напряжения на активном сопротивлении первичной обмотки трансформатора.

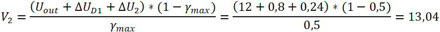
Амплитудное значение ЭДС вторичной обмотки трансформатора:

где ∆Ud1=0,8 В - падение напряжения на открытом диоде, ∆U2=0,02*12=0,24 В - падение напряжения на активном сопротивлении вторичной обмотки трансформатора, ℽmax=tи/T=0,5 - максимальное значение коэффициента заполнения импульсов напряжения на трансформаторе с учетом формы импульсов для ООП, - длительность импульса, Т - период.

Коэффициент трансформации трансформатора:

k=V1/V2=225,6/13,04=17,3.

Правильность расчетов можно проверить по формуле:

V2=V1*ℽmax/(k*(1-ℽmax))=225,6*0,5/(17,3*(1-0,5))=13,04.

Минимальное значение коэффициента заполнения импульсов напряжения на трансформаторе с учетом формы импульсов:

-2

Полученное значение коэффициента заполнения импульсов ℽmin≥0,15 - значит устройство реализуемо. В противном случае следует выбрать другую схему преобразователя, обладающую более широкими пределами регулирования и повторить расчет.

Критическая индуктивность первичной обмотки трансформатора:

-3

Коэффициент заполнения импульсов:

-4

Полученные при выборе преобразователя данные, необходимые для дальнейших расчетов схемы, заносятся в таблицу:

Результаты предварительных расчетов
Результаты предварительных расчетов

Выбор трансформатора

Трансформатор должен быть сконструирован так, чтобы он никогда не входил в насыщение. В этой связи магнитопровод трансформатора, используемого в выбранной схеме, в силу ее особенностей, должен иметь немагнитный зазор или выполняться из материала, не насыщающегося при относительно больших значениях напряженности магнитного поля.

На частоте преобразования fn=(25…80) кГц сердечники трансформаторов выполняются из феррита. Наиболее распространенными сердечниками для подобных трансформаторов являются Ш-образный (Е-образный) двойной сердечник EE-типа или с одной попереченой (стержнем) EI-типа, изготовленный из наиболее часто применяемых материалов М2000НМ-1, 2500НМС-1 и 3000НМС. При намотке трансформатора коэффициент заполнения окна магнитопровода обмоткой должен составлять Кок=0,25…0,35.

Индукция насыщения B(max) и рекомендуемая рабочая плотность магнитного потока ∆В - это разные параметры. Индукция насыщения - это предельное значение, выше которого материал перестаёт эффективно увеличивать магнитный поток. Рабочая плотность магнитного потока - это фактически используемое значение, которое выбирают ниже, чтобы: избежать насыщения, снизить потери (вихревые, гистерезисные), учесть частоту, нагрев, размер сердечника.

Принимать значение ∆В меньше 0,5*B(max) не рационально, так как необоснованно увеличиваются размеры трансформатора, а больше 0,75*B(max) запрещается, так как повышается вероятность насыщения магнитопровода. Принимаем ∆B=(0,5...0,75)*В(max)=0,625*В(max) равным среднему значению (0,5...0,75)/2=0,625. Для выбранного магнитопровода из ферритов марок 3000НМС (µ=3000) с рабочей частотой до 50 кГц приращение магнитной индукции составит ∆В=0,625*0,25=0,15 Тл.

Определяем действующее значение токов первичной I1 и вторичной I2 обмоток трансформатора с учетом формы импульсов.

Ток первичной обмотки:

-6

Ток вторичной обмотки:

I2=Iout(max)*√(1-(ℽmin))=2*√(1-0,347)=1,616 А.

Габаритная мощность трансформатора:

-7

Плотность тока j=6000000 А/м*м определяется по справочной таблице при помощи соотношения f/Pг=30000/11,85=2531,65 Гц/Вт.

Зависимость плотности тока от габаритной мощности
Зависимость плотности тока от габаритной мощности

Определяем произведение поперечного сечения стержня на поперечное сечение окна магнитопровода.

-9

Стержнем называется участок магнитопровода, на котором размещена катушка. Выбираем магнитопровод по справочнику с ближайшими характеристиками в большую сторону. Отечественного производства Ш7*7 с произведением поперечного сечения стержня на поперечное сечение окна магнитопровода:

-10
Графическое обозначение основных параметров магнитопровода: А и Б - соответственно в отечественной и иностранной документации (литературе)
Графическое обозначение основных параметров магнитопровода: А и Б - соответственно в отечественной и иностранной документации (литературе)
Параметры выбранного отечественного ферритового магнитопровода силового
Параметры выбранного отечественного ферритового магнитопровода силового

Иностранного производства ЕЕ30/7 с произведением поперечного сечения стержня на поперечное сечение окна магнитопровода:

-13
Параметры выбранного иностренного ферритового магнитопровода силового
Параметры выбранного иностренного ферритового магнитопровода силового

Как видно из расчетов подбора ферритового сердечника, типоразмеры и основные параметры практически идентичны.

Определяем число витков первичной W1 и вторичной W2 обмоток трансформатора.

-15

Определяем обмоточный медный провод, имеющий ближайшее большее значение диаметра соответсвенно первичной и вторичной обмоток.

-16
-17

Выбираем стандартные провода марки ПЭТВ-2 по ТУ 16-705.110-79 круглого сечения c параметрами, приведенными в таблице:

-18

Пересчитаем поперечные сечения проводов с учетом изоляции:

q1=π*d1*d1/4=3,14*0,199*0,199/4=0,031,

q2=π*d2*d2/4=3,14*0,676*0,676/4=0,359.

Проверка условия размещения обмотки в окне магнитопровода

(q1*W1+q2*W2)/Sок=(0,031*404+0,359*24)/(0,9*100)=0,235<Кок=0,3.

Условие размещения выполняется, значит, расчет выполнен верно.

Суммарная величина немагнитного зазора:

-19

Выбор транзисторного ключа

В импульсных устройствах следует использовать транзисторы с максимальной граничной частотой, чтобы уменьшить потери на переключение. В силовых ключевых устройствах предпочтение отдается MOSFET (Metal Oxid semiconductor Field Effect Transistor, отечественная аббревиатура МДП – металл
диэлектрик полупроводник) и IGBT (Insulated Gate Bipolar Transistir, отечественное наименование БТИЗ - биполярный транзистор с изолированным
затвором) транзисторам, которые обладают рядом преимуществ по сравнению с биполярными транзисторами. В частности, более высокой скоростью
переключения и минимальной мощностью управления, что упрощает схему
управления. В MOSFET транзисторах затвор изолирован от других электродов
и поэтому энергия управления определяется величиной заряда (разряда) емкости затвора, которая невелика. Высокая скорость переключения и низкое
сопротивление в открытом состоянии обуславливают малые потери в MOSFET
ключах.

Проектирование ключа сводится к выбору транзистора, расчету потерь ключа и выбору радиатора. Транзисторный ключ характеризуется следующими основными параметрами: мощность, напряжение и ток, коммутируемые в нагрузку; сопротивление в открытом состоянии, потери в ключе; частота переключения. Потери в ключе напрямую зависят от его сопротивления и частоты, поэтому предпочтение отдают высокочастотным транзисторам с минимальным сопротивлением (падением напряжения) в открытом состоянии.
Выбор транзисторов импульсного преобразователя производится по максимальному току и напряжению, коммутируемому ключом с учетом коэффициента запаса (
КЗ=1,2...1,35). Для биполярных и IGBT транзисторов:

Uсе>КЗ*Uсер=1,35*388,9=525 В,

Ic>КЗ*Icp=1,35*0,424=0,572 А,

где Uсе, Uсеp=Uin(max) соответственно: максимально допустимое напряжение коллектор эмиттер (collector-emitter) транзистора и пиковое значение напряжения на транзисторе; Ic, Icp=Ip - соответственно: максимально допустимый ток коллектора транзистора и пиковое значение рабочего тока. Т.к. напряжение на переходе коллектор-эмиттер транзистора достаточно велико, то выбираем БТИЗ КП709А с допустимым значениям тока стока 4 А и напряжения сток-исток 600 В. Ближайшими иностранными аналогами являются BUZ90, IRFBC30, BUK455-600A. Ввиду огромного запаса по допустимому току радиатор не нужен.

Заключение (выводы)

При выборе тарнсформатора на его типоразмер влияют следующие параметры: частота, форма импульсов, размер пульсаций, рабочая магнитная плотность потока для выбранного материала магнитопровода, коэффициент заполнения окна медью, коэффициент полезного действия, форма сигнала ШИМ. В данной статье намеренно (в качестве учебных целей или самостоятельной сборки) выбрана относительно небольшая частота работы ООП, которая в 10-15 раз ниже, чем у современных. Размер пульсаций задавался из современных реалий энергоснабжения глубинки, когда одновременно много потребителей электросети запитывают мощную нагрузку в виде сварочных трансформаторов (не инверторов) или мощных трехфазных электродвигателей без плавного пуска. Также выбранный материал имеет в 8-10 раз ниже рабочую магнитную плотность потока, к примеру, чем у нанокристаллических. Коэффициент заполнения окна медью также может быть взят в 3 раза меньше величины, чем выбран в данном случае. Коэффициент полезного действия взят минимально возможный. Все это в совокупности приводит к тому, что современный импульсный трансформатор может иметь на несколько порядков меньшие массо-габаритные характеристики, в том числе меньшее количесво витков примерно в 10 в обмотках и соответственно повлиять на окончательные размеры ИИП.