Найти в Дзене
Лисёнок_Как решить?

Глава 27. Итоговые тесты (тест 3)

Сборник задач для подготовки в ЦЭ/ЦТ: "Математика. ЦТ: Теория. Примеры. Тесты". Автор: А.Н. Ларченко.

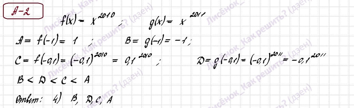
Часть А.

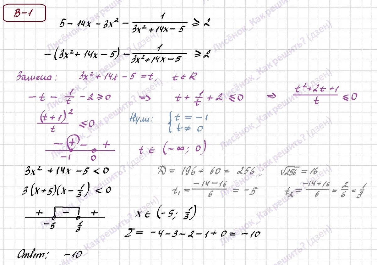
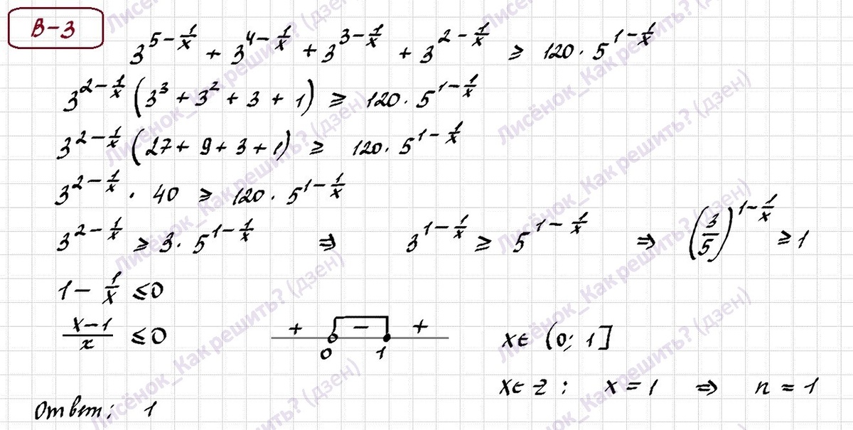
Часть В.