Добавить в корзинуПозвонить
Найти в Дзене

Как вынести за скобки общий множитель. Разложение на множители. Повторяем математику 7 класс

🔹 Подборка Повторяем математику 7 класс здесь 🤩 Поддержи меня лайком, комментарием или подпиской! 😇 ~~~~~~~~~~~~~~~~~~~~ ❓❓❓ Если возникают вопросы - пишите в комментариях - я всегда отвечаю 🤗🤗🤗 ~~~~~~~~~~~~~~~~~~~~ Сегодня будут задания, в которых нужно выносить за скобку всего 1 раз. В следующий раз будем изучать метод группировки с вынесением общих множителей за скобку. 〰〰〰〰〰〰〰〰〰〰〰 В наших сегодняшних заданиях нужно будет раскладывать на множители. Я хочу, чтобы вы понимали, что есть несколько способов разложения на множители, и вынесение общего множителя за скобку - лишь один из них. 1) вынести общий множитель за скобку - в 7 классе это точно нужно уметь (сегодня это и будем тренировать) 2) формулы сокращенного умножения - это проходят в 7 классе (это ОООчень нужно уметь! есть уже три занятия на эту тему в подборке "Повторяем математику 7 класс" https://dzen.ru/suite/9e6f9c62-b644-4c3b-979e-0283a34a129e?share_to=link) 3) формула разложения квадратного трехчлена (проходят
Оглавление
Как вынести за скобки общий множитель. Разложение на множители. Повторяем математику 7 класс
Как вынести за скобки общий множитель. Разложение на множители. Повторяем математику 7 класс

🔹 Подборка Повторяем математику 7 класс здесь

🤩 Поддержи меня лайком, комментарием или подпиской! 😇

Вот какие задания рассмотрим сегодня:

Как вынести за скобки общий множитель. Разложение на множители. Повторяем математику 7 класс
Как вынести за скобки общий множитель. Разложение на множители. Повторяем математику 7 класс

~~~~~~~~~~~~~~~~~~~~

❓❓❓ Если возникают вопросы - пишите в комментариях - я всегда отвечаю 🤗🤗🤗

~~~~~~~~~~~~~~~~~~~~

Сегодня будут задания, в которых нужно выносить за скобку всего 1 раз.

В следующий раз будем изучать метод группировки с вынесением общих множителей за скобку.

〰〰〰〰〰〰〰〰〰〰〰

В наших сегодняшних заданиях нужно будет раскладывать на множители. Я хочу, чтобы вы понимали, что есть несколько способов разложения на множители, и вынесение общего множителя за скобку - лишь один из них.

Способы разложения на множители:

1) вынести общий множитель за скобку - в 7 классе это точно нужно уметь (сегодня это и будем тренировать)

2) формулы сокращенного умножения - это проходят в 7 классе (это ОООчень нужно уметь! есть уже три занятия на эту тему в подборке "Повторяем математику 7 класс" https://dzen.ru/suite/9e6f9c62-b644-4c3b-979e-0283a34a129e?share_to=link)

3) формула разложения квадратного трехчлена (проходят позже 7 класса, сейчас не рассматриваем такой способ)

4) деление столбиком многочлена на двучлен (проходят гораздо позже 7 класса, тоже сейчас не рассматриваем)

Есть и другие способы, но я их вообще не рассматриваю в своих материалах. Считаю, что этих способов более чем достаточно.

🧐🧐🧐
Итак, на момент окончания 7 класса нужно уметь выносить за скобку общий множитель и раскладывать на множители с помощью формул сокращенного умножения.
🧐🧐🧐

Что от нас хотят в заданиях "Разложите на множители"

Задания могут звучать по-разному:

🔹 Разложите на множители

🔹 Разложите на множители многочлен

🔹 Представьте в виде произведения

🔹 Представьте в виде произведения двух многочленов

🔹 Вынесите за скобки общий множитель

🧐🧐🧐 Обращаю ваше внимание, что по сути это все одно и то же задание! Нам дается какое-то исходное выражение с итоговыми знаками действия "+" или "-", а мы должны получить итоговый знак действия "*":

что значит разложить на множители
что значит разложить на множители

🧐🧐🧐 Я хочу, чтобы вы понимали, что в школе задания "Разложите на множители" идут только пару уроков, пока вы проходите эту тему. НО на самом деле, в дальнейшем постоянно нужно будет раскладывать на множители, вынося за скобку общий множитель и используя формулы сокращенного умножения! При этом в формулировке задания ни слова не будет об этом сказано!!! Подразумевается, что вы сами понимаете, что именно надо делать 🤗

~~~~~~~~~~~~~~~~~~~~

❓❓❓ Если возникают вопросы - пишите в комментариях - я всегда отвечаю 🤗🤗🤗

~~~~~~~~~~~~~~~~~~~~

В каких заданиях в дальнейшем используется умение разложить на множители:

🔹 Преобразование и упрощение выражения, чтобы потом найти его значение:

-4

🔹 Сокращение дробей:

-5

🔹 Упрощение сложных функций для дальнейшего исследования и построения графика:

-6

🔹 Решение уравнений:

-7

🔹 Решение неравенств:

-8

🔹 Приведение дробей к общему знаменателю:

-9

Как видите, нигде не сказано, что нужно раскладывать на множители!

Эти примеры я брала из ВПР 7,8 класс; ОГЭ, ЕГЭ.

🤓🤓🤓 Навык разложения на множители - это ОООчень-очень нужный навык. Лучше сейчас его отработать, чтобы потом, при изучении дальнейшей программы, сразу понимать материал.

~~~~~~~~~~~~~~~~~~~~

❓❓❓ Если возникают вопросы - пишите в комментариях - я всегда отвечаю 🤗🤗🤗

~~~~~~~~~~~~~~~~~~~~

Когда можно выносить общий множитель за скобку?

У нас должен быть многочлен, который состоит из двух или более слагаемых. Причем у этих слагаемых должно быть что-то одинаковое в составе.

-10

Рассмотрим многочлен из трех слагаемых: 5х, -5а, 5у.

-11

У всех этих слагаемых есть что-то общее в составе - это число 5. Причем в составе каждого слагаемого 5 умножается на что-то:

в первом слагаемом 5х : 5 умножается на х;

во втором слагаемом -5а : 5 умножается на -а;

в третьем слагаемом 5у : 5 умножается на у.

А если 5 умножается на что-то, то эту пятерку можно назвать множителем.

А так как 5 есть в каждом слагаемом, то есть этот множитель одинаковый, то его и называют общий множитель.

Как выносить за скобку общий множитель?

Итак, в нашем случае общий множитель - это 5.

Теперь можно его (этот общий множитель) выносить за скобку:

⭐ нужно написать общий множитель один раз

⭐ тут же открыть скобку

⭐ расписать внутри скобок то, что осталось после вынесения

⭐ закрыть скобку.

Посмотрим на нашем простом примере:

Как выносить за скобку общий множитель?
Как выносить за скобку общий множитель?

Так как мы из каждого слагаемого убираем этот общий множитель за скобку, то в скобках расписываем то, что осталось от слагаемого:

в первом слагаемом 5х : 5 убрали - остался х;

во втором слагаемом -5а : 5 убрали - осталось -а, будьте внимательны, не теряйте минусы!

в третьем слагаемом 5у : 5 убрали - остался у со знаком плюс.

Таким образом, мы вынесли общий множитель за скобку. При этом получили разложенное на множители выражение: первый множитель - это 5, второй множитель - это наша скобка х-а+у.

~~~~~~~~~~~~~~~~~~~~

❓❓❓ Если возникают вопросы - пишите в комментариях - я всегда отвечаю 🤗🤗🤗

~~~~~~~~~~~~~~~~~~~~

Как проверить, правильно ли вынесли за скобку?

Очень хороший способ проверки при вынесении общего множителя за скобку - это раскрыть скобку обратно:

проверка при вынесении общего множителя за скобку - раскрыть скобку обратно
проверка при вынесении общего множителя за скобку - раскрыть скобку обратно

Тренировались раскрывать скобки тут:

Есть еще один способ - можно подставить числа вместо букв в исходное выражение и в ваш ответ:

проверка при вынесении общего множителя за скобку - подставить числа
проверка при вынесении общего множителя за скобку - подставить числа

😎😎😎 Лично мне больше нравится первый способ проверки - раскрыть скобки обратно. Тут и лишний раз тренируешь раскрытие скобок, и за знаками сразу же следишь! 😉😉😉

~~~~~~~~~~~~~~~~~~~~

❓❓❓ Если возникают вопросы - пишите в комментариях - я всегда отвечаю 🤗🤗🤗

~~~~~~~~~~~~~~~~~~~~

Как НЕЛЬЗЯ выносить за скобку?

Вроде бы все в общих чертах понятно, когда, что и как выносить за скобку.

Но, тем не менее, есть такие ученики, которые пытаются "вынести за скобку", но на самом деле делают при этом ошибки.

Случай первый

Теряются знаки перед слагаемыми в скобках:

ошибки при вынесении общего множителя за скобку - потеряли минус
ошибки при вынесении общего множителя за скобку - потеряли минус

Поэтому я настоятельно рекомендую хотя бы в уме делать устную мини-проверку: раскройте скобки обратно - посмотрите, совпадет ли с исходным выражением?

Случай второй

Путаница с дробями - пытаются вынести множитель не из числителя, а из знаменателя:

ошибка при вынесении за скобку - путаница с дробями
ошибка при вынесении за скобку - путаница с дробями

Случай третий

Вынесение "общего множителя" из слагаемого, в котором нет этого общего множителя:

ошибка при вынесении за скобку - из слагаемого, в котором нет общего множителя
ошибка при вынесении за скобку - из слагаемого, в котором нет общего множителя

Случай четвертый

Допускается и такая ошибка: когда общий множитель совпадает с одним из слагаемых, тогда теряется внутри скобок единица, которая должна остаться!

ошибка при вынесении за скобку - теряется внутри скобок единица, которая должна остаться
ошибка при вынесении за скобку - теряется внутри скобок единица, которая должна остаться

Случай пятый

Случается даже такое... Пытаются "вынести общий множитель" из одночлена, а не из многочлена:

ошибка при вынесении за скобку - из одночлена вынести общий множитель НЕЛЬЗЯ
ошибка при вынесении за скобку - из одночлена вынести общий множитель НЕЛЬЗЯ

Суть вынесения общего множителя за скобки в том, чтобы вынести что-то одинаковое хотя бы из двух слагаемых!

~~~~~~~~~~~~~~~~~~~~

❓❓❓ Если возникают вопросы - пишите в комментариях - я всегда отвечаю 🤗🤗🤗

~~~~~~~~~~~~~~~~~~~~

🤓🤓🤓 Если вы вспомнили еще какие-то популярные ошибки при вынесении общего множителя за скобку - напишите, пожалуйста, в комментариях 👇👇👇

Мои обозначения

Как вы заметили, во всех примерах стараюсь одинаково выделять основные элементы для данной темы:

1) слагаемые - круглая скобка:

-20

2) общий множитель - квадратная скобка:

-21

3) серые стрелки - что остается от слагаемых после вынесения:

-22

😎😎😎 А теперь самое время перейти к сегодняшним заданиям 💃💃💃

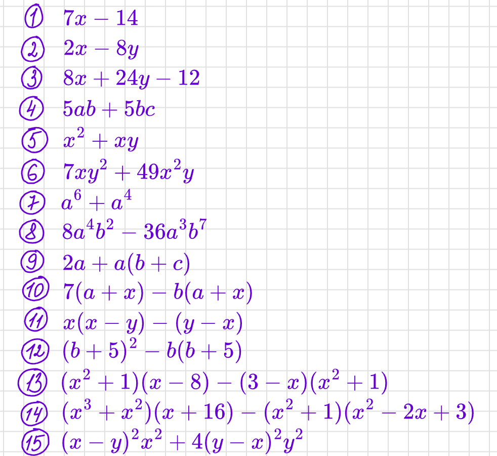
Задание 1. Вынесите общий множитель за скобку.

Задание 1. Вынесите общий множитель за скобку
Задание 1. Вынесите общий множитель за скобку

Проанализируем ситуацию: по заданию нужно было вынести общий множитель за скобку. Мы определили, что именно является общим множителем, вынесли за скобку, а в скобках расписали то, что осталось от слагаемых после вынесения.

В итоге мы получили разложение на множители: 7 и х-2.

А теперь проверка. Как я писала выше, можно двумя способами проверить, правильно ли вы вынесли за скобку. В сегодняшних заданиях я буду использовать первый способ проверки - раскрыть скобку обратно:

Задание 1. Вынесите общий множитель за скобку - проверка
Задание 1. Вынесите общий множитель за скобку - проверка

😎😎😎 Если вы хорошо усвоили данную тему, то решение должно выглядеть вот так:

Задание 1. Вынесите общий множитель за скобку
Задание 1. Вынесите общий множитель за скобку

То есть все рассуждения про то, что является общий множителем, что останется и т.д. происходят в уме.

Удобно расписывать еще вот так в более сложных примерах:

Задание 1. Вынесите общий множитель за скобку
Задание 1. Вынесите общий множитель за скобку

🤓🤓🤓 Этот пример расписала подробно, со следующего примера буду просто выделять круглой скобкой - слагаемые, квадратной скобкой - общий множитель, серыми стрелками - то, что остается от слагаемых и идет в скобки.

~~~~~~~~~~~~~~~~~~~~

❓❓❓ Если возникают вопросы - пишите в комментариях - я всегда отвечаю 🤗🤗🤗

~~~~~~~~~~~~~~~~~~~~

Задание 2. Вынесите общий множитель за скобку.

Задание 2. Вынесите общий множитель за скобку - решение и проверка
Задание 2. Вынесите общий множитель за скобку - решение и проверка

~~~~~~~~~~~~~~~~~~~~

❓❓❓ Если возникают вопросы - пишите в комментариях - я всегда отвечаю 🤗🤗🤗

~~~~~~~~~~~~~~~~~~~~

Задание 3. Разложите на множители.

Задание 3. Разложите на множители
Задание 3. Разложите на множители

~~~~~~~~~~~~~~~~~~~~

❓❓❓ Если возникают вопросы - пишите в комментариях - я всегда отвечаю 🤗🤗🤗

~~~~~~~~~~~~~~~~~~~~

Задание 4. Разложите на множители.

Задание 4. Разложите на множители
Задание 4. Разложите на множители

~~~~~~~~~~~~~~~~~~~~

❓❓❓ Если возникают вопросы - пишите в комментариях - я всегда отвечаю 🤗🤗🤗

~~~~~~~~~~~~~~~~~~~~

Задание 5. Разложите на множители.

Задание 5. Разложите на множители
Задание 5. Разложите на множители

Когда есть степени, например, квадраты, кубы, то помните, что часть из этой степени уходит за скобку, а часть остается!

~~~~~~~~~~~~~~~~~~~~

❓❓❓ Если возникают вопросы - пишите в комментариях - я всегда отвечаю 🤗🤗🤗

~~~~~~~~~~~~~~~~~~~~

Задание 6. Разложите на множители.

Задание 6. Разложите на множители
Задание 6. Разложите на множители

🧐🧐🧐 Напоминаю! Старайтесь в уме тренировать поиск общего множителя! Стремитесь к тому, чтобы ваше решение выглядело так:

Задание 6. Разложите на множители
Задание 6. Разложите на множители

Если сейчас это кажется очень трудным, то это означает только одно - вам нужно еще потренироваться 🤗🤗🤗

~~~~~~~~~~~~~~~~~~~~

❓❓❓ Если возникают вопросы - пишите в комментариях - я всегда отвечаю 🤗🤗🤗

~~~~~~~~~~~~~~~~~~~~

Задание 7. Разложите на множители.

Задание 7. Разложите на множители
Задание 7. Разложите на множители

Таких больших занятий по степеням для 7 класса у меня пока нет, но есть напоминалки по каждой из пяти формул:

Все напоминалки смотри здесь:

~~~~~~~~~~~~~~~~~~~~

❓❓❓ Если возникают вопросы - пишите в комментариях - я всегда отвечаю 🤗🤗🤗

~~~~~~~~~~~~~~~~~~~~

Задание 8. Разложите на множители.

Задание 8. Разложите на множители
Задание 8. Разложите на множители

~~~~~~~~~~~~~~~~~~~~

❓❓❓ Если возникают вопросы - пишите в комментариях - я всегда отвечаю 🤗🤗🤗

~~~~~~~~~~~~~~~~~~~~

Задание 9. Разложите на множители.

Задание 9. Разложите на множители
Задание 9. Разложите на множители

🙄 Захотелось сразу раскрыть скобки? Если да, то помните - скобки не всегда надо сразу раскрывать! Представьте, что вы раскрыли скобки. Что получится? Получится многочлен из трех слагаемых. А по заданию нам что нужно? Нам нужно, наоборот, разложить на множители! Поэтому, прежде чем что-то делать - подумайте, приведет ли это вас к поставленной цели 🧐

Распишем подробно решение:

Задание 9. Разложите на множители
Задание 9. Разложите на множители

Сейчас итоговое действие - это умножение, значит, мы разложили на множители.

~~~~~~~~~~~~~~~~~~~~

❓❓❓ Если возникают вопросы - пишите в комментариях - я всегда отвечаю 🤗🤗🤗

~~~~~~~~~~~~~~~~~~~~

Задание 10. Разложите на множители.

Задание 10. Разложите на множители
Задание 10. Разложите на множители

В итоге получили произведение двух скобок - значит, разложили на множители.

~~~~~~~~~~~~~~~~~~~~

❓❓❓ Если возникают вопросы - пишите в комментариях - я всегда отвечаю 🤗🤗🤗

~~~~~~~~~~~~~~~~~~~~

Задание 11. Разложите на множители.

Задание 11. Разложите на множители
Задание 11. Разложите на множители

В итоге получили произведение двух скобок - значит, разложили на множители.

~~~~~~~~~~~~~~~~~~~~

❓❓❓ Если возникают вопросы - пишите в комментариях - я всегда отвечаю 🤗🤗🤗

~~~~~~~~~~~~~~~~~~~~

Задание 12. Разложите на множители.

Задание 12. Разложите на множители
Задание 12. Разложите на множители

В итоге получили произведение двух скобок - значит, разложили на множители.

~~~~~~~~~~~~~~~~~~~~

❓❓❓ Если возникают вопросы - пишите в комментариях - я всегда отвечаю 🤗🤗🤗

~~~~~~~~~~~~~~~~~~~~

Задание 13. Разложите на множители.

Задание 13. Разложите на множители
Задание 13. Разложите на множители

В итоге получили произведение двух скобок - значит, разложили на множители.

~~~~~~~~~~~~~~~~~~~~

❓❓❓ Если возникают вопросы - пишите в комментариях - я всегда отвечаю 🤗🤗🤗

~~~~~~~~~~~~~~~~~~~~

Задание 14. Разложите на множители.

Задание 14. Разложите на множители
Задание 14. Разложите на множители

В итоге получили произведение двух скобок - значит, разложили на множители.

~~~~~~~~~~~~~~~~~~~~

❓❓❓ Если возникают вопросы - пишите в комментариях - я всегда отвечаю 🤗🤗🤗

~~~~~~~~~~~~~~~~~~~~

Задание 15. Разложите на множители.

В моем телеграм-канале я выкладываю задачки с вариантами ответов, где можно проголосовать и сразу узнать какой правильный ответ. Данную задачку хотелось бы тоже показать в этом занятии.

Задание 15. Разложите на множители
Задание 15. Разложите на множители
Задание 15. Разложите на множители - решение
Задание 15. Разложите на множители - решение

Смотри все задачки в Подборке Задачки дня:

👆 Задачки дня | Подслушано по Математике | Дзен

Реши сам - задания для тренировки:

-44

Задания из учебника Алгебра 7 класс (Ю.Н. Макарычев, 2023г.)

-45
-46
-47
-48

Задания можно проверить в ответах учебника или на сайте ГДЗ (правда, там иногда бывают ошибки, будьте осторожны 🤫).

😎 Но лучше стремиться к независимости от ответов - делайте самостоятельно ПРОВЕРКУ - раскрывайте скобки обратно! Помните - на экзамене ответов не будет, и никто не сможет подсказать! 🧐

~~~~~~~~~~~~~~~~~~~~

❓❓❓ Если возникают вопросы - пишите в комментариях - я всегда отвечаю 🤗🤗🤗

~~~~~~~~~~~~~~~~~~~~

⚜⚜⚜⚜⚜⚜⚜⚜⚜⚜⚜⚜⚜⚜⚜⚜⚜⚜⚜⚜⚜⚜⚜⚜⚜⚜⚜⚜⚜

✅ Оглавление:

🔹 Подборка Повторяем математику 7 класс здесь

🧭 Путеводитель по каналу Подслушано по Математике здесь

📢 Телеграм-канал Подслушано по Математике здесь