Найти в Дзене
Лисёнок_Как решить?

Глава 27. Итоговые тесты (тест 2)

Оглавление

Сборник задач для подготовки в ЦЭ/ЦТ: "Математика. ЦТ: Теория. Примеры. Тесты". Автор: А.Н. Ларченко.

Часть А.

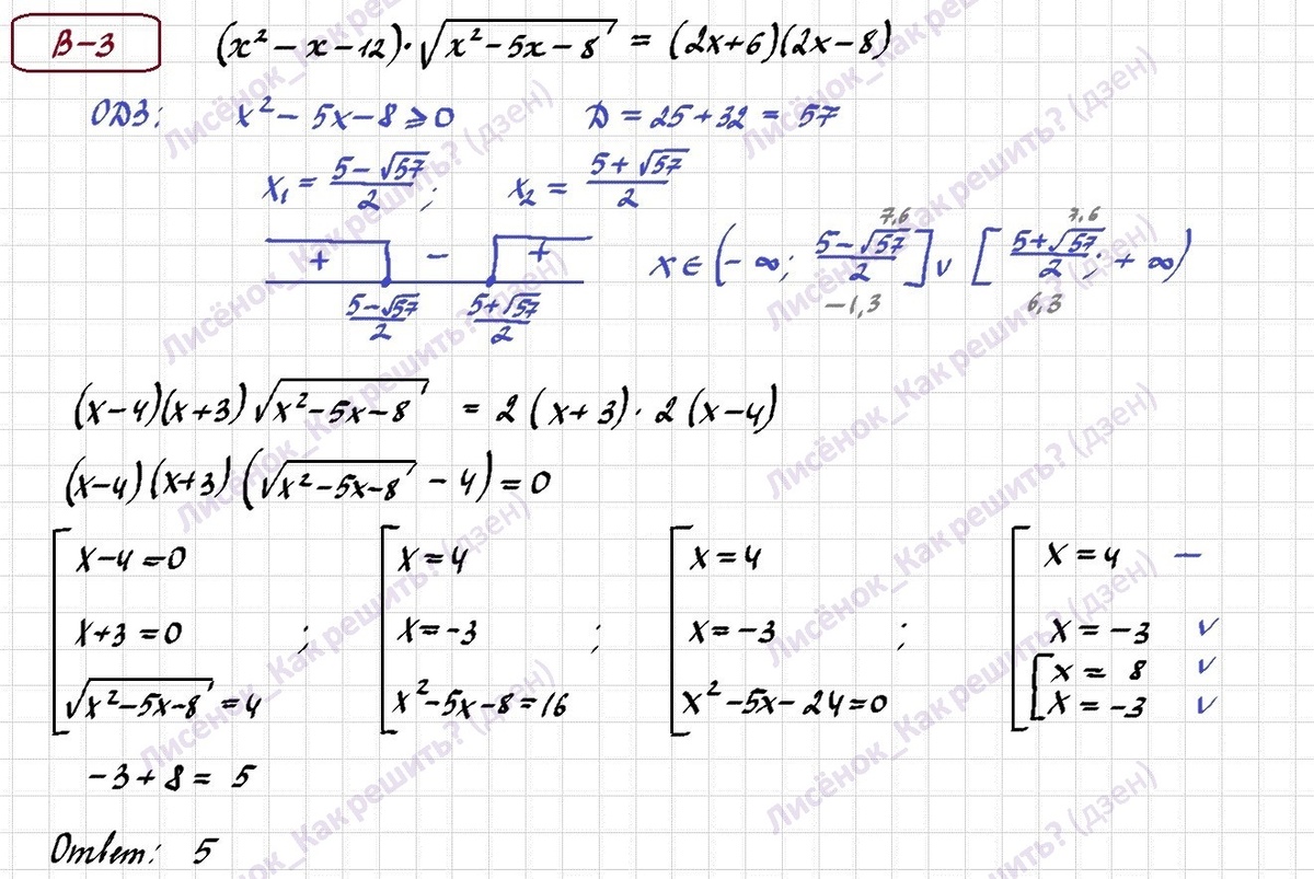
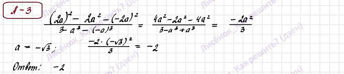
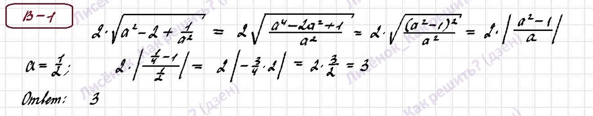
Часть В.