Добавить в корзинуПозвонить
Найти в Дзене

Почему нельзя возводить отрицательное число в дробную степень?

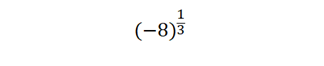
Возможно для кого-то из читателей это будет открытием, но выражение не имеет смысла. Однако мы легко можем извлечь кубический корень из числа -8: Но ведь мы точно знаем, что В чем же подвох? А вот в чем! По основному свойству дроби мы можем умножать ее числитель и знаменатель на одно и то же отличное от нуля число, при этом дробь будет сохранять свое значение, т.е. Тогда, применяя это свойство к показателю степени, мы получим следующее: В итоге, мы получили, что 2=-2 – противоречие! Поэтому, возводить отрицательное число в дробную степень нельзя, а извлекать корень нечетной степени из отрицательного числа – можно. Рассмотрим пример. По определению корень нечетной степени мы можем извлекать из любого числа, в том числе и отрицательного. А вот возводить в дробную степень возможно только неотрицательное число. Поэтому обозначим область определения: Ну а теперь просто возведем обе части уравнения с степень знаменателя, чтобы сократить его:

Возможно для кого-то из читателей это будет открытием, но выражение

-2

не имеет смысла.

Однако мы легко можем извлечь кубический корень из числа -8:

-3

Но ведь мы точно знаем, что

-4

В чем же подвох? А вот в чем!

По основному свойству дроби мы можем умножать ее числитель и знаменатель на одно и то же отличное от нуля число, при этом дробь будет сохранять свое значение, т.е.

-5

Тогда, применяя это свойство к показателю степени, мы получим следующее:

-6

В итоге, мы получили, что 2=-2 – противоречие! Поэтому, возводить отрицательное число в дробную степень нельзя, а извлекать корень нечетной степени из отрицательного числа – можно.

Рассмотрим пример.

-7

По определению корень нечетной степени мы можем извлекать из любого числа, в том числе и отрицательного. А вот возводить в дробную степень возможно только неотрицательное число. Поэтому обозначим область определения:

-8

Ну а теперь просто возведем обе части уравнения с степень знаменателя, чтобы сократить его:

-9